PRE 14A: Preliminary proxy statement not related to a contested matter or merger/acquisition
Published on March 31, 2026
UNITED STATES
SECURITIES AND EXCHANGE COMMISSION
Washington, D.C. 20549
SCHEDULE 14A
PROXY STATEMENT PURSUANT TO SECTION 14(a) OF THE
SECURITIES EXCHANGE ACT OF 1934
Filed by the Registrant ⌧
Filed by a Party other than the Registrant □
Check the appropriate box:
☒ | Preliminary Proxy Statement | ||||
| ☐ | Confidential, for Use of the Commission Only (as permitted by Rule 14a-6(e)(2)) | ||||
| ☐ | Definitive Proxy Statement | ||||
☐ | Definitive Additional Materials | ||||
| ☐ | Soliciting Material Pursuant to §240.14a-12 | ||||
| (Name of Registrant as Specified In Its Charter) | ||
Payment of Filing Fee (Check all boxes that apply):
☒ | No fee required | |||||||
| ☐ | Fee paid previously with preliminary materials | |||||||
| ☐ | Fee computed on table in exhibit required by Item 25(b) per Exchange Act Rules 14a-6(i)(1) and 0-11 | |||||||









PRELIMINARY PROXY STATEMENT – SUBJECT TO COMPLETION

PROXY STATEMENT
LYFT, INC.
185 BERRY ST., SUITE 400
SAN FRANCISCO, CALIFORNIA 94107
NOTICE OF ANNUAL MEETING OF STOCKHOLDERS
To Be Held at 10:00 a.m. Pacific Time on Wednesday, June 3, 2026
Dear Stockholders of Lyft, Inc.:
We cordially invite you to attend the 2026 annual meeting of stockholders (together with any adjournments, postponements or other delays thereof, the “Annual Meeting”) of Lyft, Inc., a Delaware corporation (“Lyft”), to be held on Wednesday, June 3, 2026 at 10:00 a.m., Pacific Time. The Annual Meeting will be held virtually and conducted exclusively by live webcast. On the day of the Annual Meeting, you may participate in the Annual Meeting by visiting www.virtualshareholdermeeting.com/LYFT2026. Please see the attached proxy statement for additional information on registering to attend and attending the Annual Meeting.
We are holding the Annual Meeting for the following purposes, as more fully described in the accompanying proxy statement:
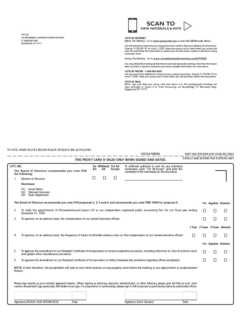
1. The election of three Class I directors to serve until the 2029 annual meeting of stockholders and until their successors are duly elected and qualified;
2. The ratification of the appointment of PricewaterhouseCoopers LLP as our independent registered public accounting firm for our fiscal year ending December 31, 2026;
3. The approval of, on an advisory basis, the compensation of our named executive officers;
4. The approval of, on an advisory basis, the frequency of future stockholder advisory votes on the compensation of our named executive officers;
5. The approval of an amendment to our Restated Certificate of Incorporation to remove inoperative provisions, including references to Class B common stock and to update other miscellaneous provisions;
6. The approval of an amendment to our Restated Certificate of Incorporation to reflect Delaware law provisions regarding officer exculpation; and
7. Such other business as may properly come before the Annual Meeting.
Our board of directors (our “Board”) has fixed the close of business on April 6, 2026 as the record date for the Annual Meeting. Only stockholders of record on April 6, 2026 are entitled to notice of and to vote at the Annual Meeting. Further information regarding voting rights and the matters to be voted upon is presented in the accompanying proxy statement.
The accompanying proxy statement and our annual report can be accessed by visiting www.virtualshareholdermeeting.com/LYFT2026.
YOUR VOTE IS IMPORTANT. Whether or not you plan to attend the Annual Meeting, we urge you to submit your vote via the Internet, telephone or mail as soon as possible to ensure your shares are represented. For additional instructions on voting by telephone or the Internet, please refer to your proxy card. Returning the proxy does not deprive you of your right to attend the Annual Meeting and to vote your shares at the Annual Meeting.
We appreciate your continued support of Lyft.
By order of the Board of Directors,
Sean Aggarwal
Board Chair
San Francisco, California
April [___], 2026
TABLE OF CONTENTS
| Page | |||||
Continuing Directors | |||||
PROPOSAL NO. 4 ADVISORY VOTE ON THE FREQUENCY OF FUTURE STOCKHOLDER ADVISORY VOTES ON THE COMPENSATION OF OUR NAMED EXECUTIVE OFFICERS | |||||
| Vote Required | |||||
| PROPOSAL NO. 5 AMENDMENT TO OUR RESTATED CERTIFICATE OF INCORPORATION TO REMOVE INOPERATIVE PROVISIONS, INCLUDING REFERENCES TO CLASS B COMMON STOCK AND UPDATE OTHER MISCELLANEOUS PROVISIONS | |||||
| Vote Required | |||||
| PROPOSAL NO. 6 AMENDMENT TO OUR RESTATED CERTIFICATE OF INCORPORATION TO REFLECT DELAWARE LAW PROVISIONS REGARDING OFFICER EXCULPATION | |||||
| Vote Required | |||||

LYFT, INC.
PROXY STATEMENT
FOR 2026 ANNUAL MEETING OF STOCKHOLDERS
To Be Held at 10:00 a.m. Pacific Time on Wednesday, June 3, 2026
This proxy statement and the enclosed form of proxy are furnished in connection with the solicitation of proxies by our board of directors for use at the 2026 annual meeting of stockholders of Lyft, Inc., a Delaware corporation (the “Company” or “Lyft”), and any postponements, adjournments or delays thereof (the “Annual Meeting”). The Annual Meeting will be held on Wednesday, June 3, 2026 at 10:00 a.m., Pacific Time. The Annual Meeting will be held virtually and conducted exclusively by live webcast. On the day of the Annual Meeting, you may participate in the Annual Meeting by visiting www.virtualshareholdermeeting.com/LYFT2026. Additional information on attending the Annual Meeting may be found in this proxy statement. Although you will not be able to attend the Annual Meeting at a physical location, we have designed the Annual Meeting to provide stockholders the opportunity to participate virtually to facilitate stockholder attendance and provide a consistent experience to all stockholders, regardless of location. The Notice of Internet Availability of Proxy Materials (the “Notice”) containing instructions on how to access this proxy statement and our annual report is first being mailed on or about April [__], 2026 to all stockholders entitled to vote at the Annual Meeting.
The information provided in the “question and answer” format below is for your convenience only and is merely a summary of the information contained in this proxy statement. You should read this entire proxy statement carefully. Information contained on, or that can be accessed through, our website is not intended to be incorporated by reference into this proxy statement and references to our website address in this proxy statement are inactive textual references only.
What matters am I voting on?
You are being asked to vote on:
•the election of three Class I directors to serve until the 2029 annual meeting of stockholders and until their successors are duly elected and qualified;
•a proposal to ratify the appointment of PricewaterhouseCoopers LLP as our independent registered public accounting firm for our fiscal year ending December 31, 2026;
•a proposal to approve, on an advisory basis, the compensation of our named executive officers;
•a proposal to approve, on an advisory basis, the frequency of future stockholder advisory votes on the compensation of our named executive officers;
•a proposal to amend our Restated Certificate of Incorporation to remove inoperative provisions, including references to Class B common stock and update other miscellaneous provisions;
• a proposal to amend our Restated Certificate of Incorporation to reflect Delaware law provisions regarding officer exculpation; and
-1-
•any other business as may properly come before the Annual Meeting.
How does the board of directors recommend I vote on these proposals?
Our board of directors recommends a vote:
•“FOR” the election of each of the Class I director nominees of our board of directors: David Risher, Dave Stephenson and Deborah Hersman;
•“FOR” the ratification of the appointment of PricewaterhouseCoopers LLP as our independent registered public accounting firm for our fiscal year ending December 31, 2026;
•“FOR” the approval of, on an advisory basis, the compensation of our named executive officers;
•To hold future stockholder advisory votes on the compensation of our named executive officers every “ONE YEAR.”
•“FOR” the amendment of our Restated Certificate of Incorporation to remove inoperative provisions, including references to Class B common stock and update other miscellaneous provisions; and
•“FOR” the amendment of our Restated Certificate of Incorporation to reflect Delaware law provisions regarding officer exculpation.
Who is entitled to vote?
Our only voting securities outstanding are shares of our Class A common stock, which we refer to in this proxy statement as our “common stock.” On August 15, 2025, each share of our Class B common stock then outstanding converted into one share of our Class A common stock pursuant to the terms of our Restated Certificate of Incorporation. Following such conversion, no additional shares of Class B common stock have been or will be issued. and as described in Proposal 5, we are seeking stockholder approval to amend our Restated Certificate of Incorporation to remove all references to the Class B common stock. As of the close of business on April 6, 2026, the record date for the Annual Meeting, there were [ ] shares of our Class A common stock outstanding. Stockholders are not permitted to cumulate votes with respect to the election of directors. Each share of Class A common stock is entitled to one vote on each proposal.
Registered Stockholders. If shares of our common stock are registered directly in your name with our transfer agent, Equiniti Trust Company, LLC, you are considered the stockholder of record with respect to those shares, and this proxy statement was provided to you directly by us. As the stockholder of record, you have the right to grant your voting proxy directly to the individuals listed on the enclosed proxy card or to vote live at the Annual Meeting. Throughout this proxy statement, we refer to these registered stockholders as “stockholders of record.”
Street Name Stockholders. If shares of our common stock are held on your behalf in a brokerage account or by a bank or other nominee, you are considered to be the beneficial owner of shares that are held in “street name,” and this proxy statement was forwarded to you by your broker, bank or nominee, who is considered the stockholder of record with respect to those shares. As the beneficial owner, you have the right to direct your broker, bank or other nominee as to how to vote your shares. Beneficial owners are also invited to attend the Annual Meeting. However, since a beneficial owner is not the stockholder of record, you may not vote your shares of our common stock live at the Annual Meeting unless you follow the procedures of your broker, bank or nominee for obtaining a legal proxy. Throughout this proxy statement, we refer to stockholders who hold their shares through a broker, bank or other nominee as “street name stockholders.”
-2-
How many votes are needed for approval of each proposal?
•Proposal No. 1: Each director is elected by a plurality of the voting power of the shares present or represented by proxy at the Annual Meeting and entitled to vote on the election of directors at the Annual Meeting. Abstentions and broker non-votes will have no effect on the outcome of the vote. “Plurality” means that the three nominees who receive the largest number of votes cast “For” such nominees are elected as directors. As a result, any shares not voted “For” a particular nominee (whether as a result of a withhold vote or a broker non-vote) will not be counted in such nominee’s favor and will have no effect on the outcome of the election. You may vote (i) “FOR” for a director nominee or (ii) “WITHHOLD” for a director nominee.
•Proposal No. 2: The ratification of the appointment of PricewaterhouseCoopers LLP as our independent registered public accounting firm for our fiscal year ending December 31, 2026, requires the affirmative “For” vote of a majority of the voting power of the shares of our common stock present or represented by proxy at the Annual Meeting and entitled to vote thereon to be approved. You may vote “For,” “Against” or “Abstain” with respect to this proposal. Abstentions are considered shares present and entitled to vote on this proposal, and thus will have the same effect as a vote “Against” this proposal. Broker non-votes will have no effect on the outcome of this proposal.
•Proposal No. 3: The approval of, on an advisory basis, the compensation of our named executive officers requires the affirmative “For” vote of a majority of the voting power of the shares of our common stock present or represented by proxy at the Annual Meeting and entitled to vote thereon to be approved. You may vote “For,” “Against” or “Abstain” with respect to this proposal. Abstentions are considered shares present and entitled to vote on this proposal, and thus will have the same effect as a vote “Against” this proposal. Broker non-votes will have no effect on the outcome of this proposal. Because this proposal is an advisory vote, the result will not be binding on our board of directors or our company. Our board of directors and our compensation committee will consider the outcome of the vote when determining named executive officer compensation.
•Proposal No. 4: With respect to the approval of, on an advisory basis, the frequency of future stockholder advisory votes on the compensation of our named executive officers, the frequency receiving the highest number of votes cast at the Annual Meeting by stockholders entitled to vote thereon will be considered the frequency preferred by the stockholders. If you “Abstain” from voting on this proposal, it will have no effect on the outcome. Broker non-votes also will have no effect on the outcome of this proposal. Because this proposal is an advisory vote, the result will not be binding on our board of directors or our company. Our board of directors and our compensation committee will consider the outcome of the vote when determining how often we should submit to stockholders an advisory vote to approve the compensation of our named executive officers.
•Proposal No. 5: The approval of an amendment to our Restated Certificate of Incorporation to remove inoperative provisions, including references to Class B common stock and update other miscellaneous provisions requires the affirmative “For” votes of the holders of at least two-thirds of the voting power of our outstanding common stock entitled to vote generally in the election of directors. You may vote “For,” “Against” or “Abstain” with respect to this proposal. Abstentions and broker non-votes will have the same effect as a vote “Against” this proposal.
•Proposal No. 6: The approval of an amendment to our Restated Certificate of Incorporation to reflect Delaware law provisions regarding officer exculpation requires the affirmative “For” vote of the holders of at least a majority of the voting power of our outstanding common stock entitled to vote thereon. You may vote “For,” “Against” or “Abstain” with respect to this proposal. Abstentions and broker non-votes will have the same effect as a vote “Against” this proposal.
-3-
What is a quorum?
A quorum is the minimum number of shares or voting power required to be present at the Annual Meeting to properly hold an annual meeting of stockholders and conduct business under our amended and restated bylaws and Delaware law. The presence, in person or by proxy, of a majority of the voting power of all issued and outstanding shares of our common stock entitled to vote at the Annual Meeting will constitute a quorum at the Annual Meeting. Abstentions, withhold votes, and broker non-votes are counted as shares present and entitled to vote for purposes of determining a quorum.
How do I vote?
We strongly encourage you to vote online, by telephone or by mail prior to the Annual Meeting. Regardless of how you hold your shares, voting by proxy ensures that if you are unable to attend the Annual Meeting, your shares will be voted at the Annual Meeting. Voting now will not limit your right to change your vote or to attend the Annual Meeting.
Stockholders of Record
If you are a stockholder of record, there are four ways to vote:
•By Internet prior to the Annual Meeting at www.virtualshareholdermeeting.com/LYFT2026, 24 hours a day, seven days a week, until 11:59 p.m. Eastern Time on June 2, 2026 (have your Notice or proxy card in hand when you visit the website);
•By toll-free telephone at 1-800-690-6903, until 11:59 p.m. Eastern Time on June 2, 2026 (have your Notice or proxy card in hand when you call);
•By completing and mailing your proxy card (if you received printed proxy materials); or.
•By attending the Annual Meeting virtually by visiting www.virtualshareholdermeeting.com/LYFT2026, where you may vote and submit questions during the meeting (please have your Notice or proxy card in hand when you visit the website).
If you are a street name stockholder, your broker, bank or other nominee can provide you with instructions on how to change your vote.
Street Name Stockholders
If you are a street name stockholder, you will receive a voting instruction form from your broker, bank or other nominee. You must follow the voting instructions provided by your broker, bank or other nominee in order to direct your broker, bank or other nominee on how to vote your shares. Street name stockholders should generally be able to vote by returning a voting instruction form, or by telephone or on the Internet. However, the availability of telephone and Internet voting will depend on the voting process of your broker, bank or other nominee. As discussed above, if you are a street name stockholder, you may not vote your shares live at the virtual Annual Meeting unless you obtain a legal proxy from your broker, bank or other nominee.
Can I change my vote?
Stockholders of Record
Yes. If you are a stockholder of record, you can change your vote or revoke your proxy any time before the Annual Meeting by:
-4-
•entering a new vote by Internet or by telephone;
•completing and returning a later-dated proxy card;
•notifying the Corporate Secretary of Lyft, Inc., in writing, at Lyft, Inc., 185 Berry St., Suite 400, San Francisco, California 94107; or
•attending and voting at the Annual Meeting (although attendance at the Annual Meeting will not, by itself, revoke a proxy).
Street Name Stockholders
If you are a street name stockholder, your broker, bank or other nominee can provide you with instructions on how to change your vote.
What do I need to do to attend the Annual Meeting?
The Annual Meeting will be a completely virtual meeting of stockholders, which we believe provides the opportunity for participation by a broader group of stockholders while reducing the environmental impact and the costs associated with in-person meetings. Stockholders of record and street name stockholders with a legal proxy from their broker, bank, or other nominee will be able to attend the Annual Meeting by visiting www.virtualshareholdermeeting.com/LYFT2026, which will allow such stockholders to submit questions during the meeting and vote shares electronically at the meeting.
We designed the format of the virtual Annual Meeting to ensure that our stockholders are afforded the same rights and opportunities to participate as they would at an in-person meeting and to enhance stockholder access, participation and communication through online tools. The virtual format facilitates stockholder attendance and participation by enabling stockholders to participate fully and equally from any location around the world. During the meeting, you will have the ability to submit questions real-time via the virtual meeting website, with a limit of one question per stockholder. We will answer as many questions submitted in accordance with the meeting rules of conduct as possible in the time allotted for the meeting. Only questions that are relevant to our business operations will be answered.
To participate in the Annual Meeting, you will need the control number included on your Notice, proxy card or the instructions that accompanied your proxy materials to attend the Annual Meeting. The Annual Meeting webcast will begin promptly at 10:00 a.m. Pacific Time. We encourage you to access the meeting prior to the start time. Online check-in will begin at 9:45 a.m. Pacific Time, and you should allow ample time for the check-in procedures.
Where can I get technical assistance if I am having trouble accessing the meeting or during the meeting?
If you have difficulty accessing the meeting or during the meeting, please refer to the technical support telephone number posted on the virtual meeting website login page. If we experience a technical failure or other disruption, we will endeavor to post information on the virtual meeting website login page.
What is the effect of giving a proxy?
Proxies are solicited by and on behalf of our board of directors. David Risher, our Chief Executive Officer, Erin Brewer, our Chief Financial Officer, and Lindsay Llewellyn, our Chief Legal and Business Officer and Corporate Secretary, have been designated as proxy holders by our board of directors. When a proxy is properly dated, signed and returned, the shares represented thereby will be voted at the Annual Meeting in accordance with the instructions of the stockholder. If the proxy is dated and signed but no specific instructions are given, the shares will be voted in accordance with the recommendations of our board of directors as described in this proxy statement. If the Annual Meeting is
-5-
adjourned, the proxy holders can vote the shares on the new Annual Meeting date as well, unless you have properly revoked your proxy instructions, as described above.
How are proxies solicited for the Annual Meeting and who is paying for that solicitation?
Our board of directors is soliciting proxies for use at the Annual Meeting. All expenses associated with this solicitation will be borne by us. We will reimburse brokers or other nominees for reasonable expenses that they incur in sending our proxy materials to you if a broker, bank, or other nominee holds shares of our common stock on your behalf. In addition, our directors and employees may also solicit proxies in person, by email, by telephone or by other means of communication.
How may my brokerage firm or other intermediary vote my shares if I fail to provide timely directions?
Brokerage firms and other intermediaries holding shares of our common stock in street name for their customers are generally required to vote such shares in the manner directed by their customers. In the absence of timely directions, your broker will have discretion to vote your shares on our sole “routine” matter: the proposal to ratify the appointment of PricewaterhouseCoopers LLP as our independent registered public accounting firm for our fiscal year ending December 31, 2026. Your broker will not have discretion to vote on any other proposals, which are “non-routine” matters, absent direction from you.
Where can I find the voting results of the Annual Meeting?
We may announce preliminary voting results at the Annual Meeting. We will also disclose voting results on a Current Report on Form 8-K that we will file with the SEC within four business days after the Annual Meeting. If final voting results are not available to us in time to file a Form 8-K within four business days after the Annual Meeting, we will file a Form 8-K to publish preliminary results and will provide the final results in an amendment to the Form 8-K as soon as they become available.
I share an address with another stockholder, and we received only one paper copy of the proxy materials. How may I obtain an additional copy of the proxy materials?
We have adopted a procedure called “householding,” which the SEC has approved. Under this procedure, we deliver a single copy of the Notice and, if applicable, our proxy materials to multiple stockholders who share the same address, unless we have received contrary instructions from one or more of such stockholders. This procedure reduces our printing costs, mailing costs and fees. Stockholders who participate in householding will continue to be able to access and receive separate proxy cards. Upon written or oral request, we will promptly deliver a separate copy of the Notice and, if applicable, our proxy materials to any stockholder at a shared address to which we delivered a single copy of any of these materials. To receive a separate copy, or, if a stockholder is receiving multiple copies, to request that we only send a single copy of the Notice and, if applicable, our proxy materials, such stockholder may contact us at:
Lyft, Inc.
Attention: Investor Relations
185 Berry St., Suite 400
San Francisco, California 94107
Tel: (844) 250-2773
Street name stockholders may contact their broker, bank or other nominee to request information about householding.
-6-
May I inspect the stockholder list?
For a period of 10 days prior to the Annual Meeting, a list of stockholders of record as of the record date will be available for examination by stockholders of record during normal business hours at the Company’s principal offices as long as the examination is for a purpose germane to the Annual Meeting.
What is the deadline to propose actions for consideration at next year’s annual meeting of stockholders or to nominate individuals to serve as directors?
Stockholder Proposals
Stockholders may present proper proposals for inclusion in our proxy statement and for consideration at next year’s annual meeting of stockholders by submitting their proposals in writing to our Secretary in a timely manner. For a stockholder proposal to be considered for inclusion in our proxy statement for the 2027 annual meeting of stockholders, our Secretary must receive the written proposal at our principal executive offices not later than [___], 2026. In addition, stockholder proposals must comply with the requirements of Rule 14a-8 regarding the inclusion of stockholder proposals in company-sponsored proxy materials. Stockholder proposals should be addressed to:
Lyft, Inc.
Attention: Corporate Secretary
185 Berry St., Suite 400
San Francisco, California 94107
Our amended and restated bylaws also establish an advance notice procedure for stockholders who wish to present a proposal before an annual meeting of stockholders but do not intend for the proposal to be included in our proxy statement. Our amended and restated bylaws provide that the only business that may be conducted at an annual meeting of stockholders is business that is (i) specified in our proxy materials with respect to such annual meeting, (ii) otherwise properly brought before such annual meeting by or at the direction of our board of directors or (iii) properly brought before such meeting by a stockholder of record entitled to vote at such annual meeting who has delivered timely written notice to our Secretary, which notice must contain the information specified in our amended and restated bylaws. To be timely for the 2027 annual meeting of stockholders, our Corporate Secretary must receive the written notice at our principal executive offices:
•not earlier than 8:00 a.m., Pacific Time, on [January , 2027]; and
•not later than 5:00 p.m., Pacific Time, on [February , 2027].
In the event that we hold the 2027 annual meeting of stockholders more than 25 days from the one-year anniversary of the Annual Meeting, notice of a stockholder proposal that is not intended to be included in our proxy statement must be received no earlier than 8:00 a.m., Pacific Time, on the 120th day before the 2027 annual meeting of stockholders and no later than 5:00 p.m., Pacific Time, on the later of the following two dates:
•the 90th day prior to the 2027 annual meeting of stockholders; or
•the 10th day following the day on which public announcement (as defined in our amended and restated bylaws) of the date of the 2027 annual meeting of stockholders is first made.
If a stockholder who has notified us of his, her or its intention to present a proposal at an annual meeting of stockholders does not appear to present his, her or its proposal at such annual meeting, we are not required to present the proposal for a vote at such annual meeting.
-7-
Nomination of Director Candidates
Our amended and restated bylaws permit stockholders to nominate directors for election at an annual meeting of stockholders. To nominate a director, the stockholder must provide the information required by our amended and restated bylaws. In addition, the stockholder must give timely notice to our Secretary in accordance with our amended and restated bylaws, which, in general, require that the notice be received by our Secretary within the time periods described above under the section titled “Stockholder Proposals” for stockholder proposals that are not intended to be included in a proxy statement. Any notice of director nomination submitted must include the additional information required by Rule 14a-19(b) under the Exchange Act.
Availability of Bylaws
A copy of our amended and restated bylaws is available via the SEC’s website at http://www.sec.gov. You may also contact our Corporate Secretary at the address set forth above for a copy of the relevant bylaw provisions regarding the requirements for making stockholder proposals and nominating director candidates.
-8-
BOARD OF DIRECTORS AND CORPORATE GOVERNANCE
Our business affairs are managed under the direction of our board of directors. Our board of directors consists of eight directors, seven of whom qualify as “independent” under the listing rules of the Nasdaq Stock Market (“Nasdaq”). We have a classified board of directors, consisting of two classes with three directors and one class with two directors, each serving staggered three-year terms.
The following table sets forth, as of March 31, 2026, the names, ages and certain other information for each of the (i) directors with terms expiring at the Annual Meeting who are also nominees for election as a director at the Annual Meeting and (ii) continuing members of our board of directors.
_________________________________
| Directors with Terms expiring at the Annual Meeting/Nominees | Class | Age | Position | Director Since | Current Term Expires | Expiration of Term for Which Nominated | ||||||||||||||
| David Risher | I | 60 | Chief Executive Officer and Director | 2021 | 2026 | 2029 | ||||||||||||||
Deborah Hersman(3) | I | 55 | Director | 2026 | 2026 | 2029 | ||||||||||||||
Dave Stephenson(1) | I | 58 | Director | 2023 | 2026 | 2029 | ||||||||||||||
| Continuing Directors | ||||||||||||||||||||
David Lawee(2) | II | 60 | Director | 2017 | 2027 | — | ||||||||||||||
Janey Whiteside(2)(3) | II | 54 | Director | 2023 | 2027 | — | ||||||||||||||
Prashant (Sean) Aggarwal(1)(2)(3) | III | 60 | Board Chair | 2016 | 2028 | — | ||||||||||||||
Jill Beggs(1) | III | 55 | Director | 2023 | 2028 | — | ||||||||||||||
Betsey Stevenson(1)(3) | III | 54 | Director | 2023 | 2028 | — | ||||||||||||||
(1)Member of our Audit Committee.
(2)Member of our Compensation Committee.
(3)Member of our Nominating and Corporate Governance Committee.
Nominees for Director
David Risher. Mr. Risher has served as our Chief Executive Officer since April 2023 and as a member of our board of directors since July 2021. Mr. Risher co-founded Worldreader, a non-profit organization, and served as its Chief Executive Officer from November 2009 until April 2023, as Board President from March 2010 until April 2023 and as Board Founding Chair since April 2023. Prior to Worldreader, Mr. Risher served as Senior Vice President, US Retail at Amazon.com, Inc. (“Amazon”), an e-commerce company. Prior to joining Amazon, he served as a General Manager at Microsoft Corporation, a software company. Mr. Risher currently serves on the boards of directors of several privately-held and non-profit companies. Mr. Risher holds a B.A. in Comparative Literature from Princeton University, an M.B.A. from Harvard Business School and an honorary Ph.D. from Wilson College.
Mr. Risher was selected to serve on our board of directors because of his operational and leadership experience as a founder and executive, as well as his experience in senior leadership roles at scaled technology companies. He also provides valuable insight in his current capacity as our Chief Executive Officer.
Deborah Hersman. Ms. Hersman has served as a member of our board of directors since January 2026. From January 2019 to February 2021, Ms. Hersman served as Chief Safety Officer and Advisor at Waymo LLC, an autonomous driving technology company and an independent company of Google’s parent company, Alphabet Inc. From 2014 to 2019, she served as President and Chief Executive Officer of the National Safety Council, a nonprofit organization focused on workplace and roadway safety advocacy. From 2004 to 2014, Ms. Hersman served as a member of the board of directors
-9-
and from 2009 to 2014 as chair of the National Transportation Safety Board. Previously, she served in a professional staff role for the U.S. Senate Commerce, Science and Transportation Committee. Ms. Hersman has served as a member of the board of directors of ONE Gas, Inc., a natural gas utility company, since June 2023 and will serve as Chair starting in May 2026, and NiSource Inc., an electric and gas utility company, since June 2019. In the past five years, she also served as a member of the board of directors of Velodyne Lidar, Inc., a lidar technology company. Ms. Hersman holds a B.A. in Political Science and International Studies from Virginia Tech, and a M.S. in Conflict Analysis and Resolution from George Mason University.
Ms. Hersman was selected to serve on our board of directors because of her significant operating experience in the autonomous vehicles industry, safety and regulatory expertise and public company board experience, which provide valuable perspectives to support the Company’s strategic growth and risk oversight.
Dave Stephenson. Mr. Stephenson has served as a member of our board of directors since February 2023. Mr. Stephenson is the Chief Business Officer and Head of Employee Experience of Airbnb, Inc. (“Airbnb”), a vacation rental online marketplace company. Mr. Stephenson has been the Chief Business Officer since January 2024 and the Head of Employee Experience since August 2021. Mr. Stephenson was previously the Chief Financial Officer of Airbnb from January 2019 to February 2024. Prior to joining Airbnb, Mr. Stephenson spent 17 years at Amazon, an e-commerce company, where he was most recently Vice President and Chief Financial Officer of their Worldwide Consumer Organization from June 2015 to December 2018. Before that, from September 2013 to June 2015, Mr. Stephenson was the Chief Financial Officer of Amazon’s International Consumer business and led finance across many areas of the company. Mr. Stephenson served as President and Chief Financial Officer of Big Fish Games, Inc., a gaming company, from September 2011 to September 2013. Since September 2025, Mr. Stephenson currently serves as a member of the board of directors of SiriusXM Holdings, Inc., a North American audio entertainment company. Mr. Stephenson holds a B.S. in Industrial and Management Engineering from Montana State University and an M.B.A. from the University of Iowa.
Mr. Stephenson was selected to serve on our board of directors because of his significant operational experience as an executive with technology companies, and his deep understanding of finance, capital allocation, financial reporting, strategy, operations and risk management.
Continuing Directors
Sean Aggarwal. Mr. Aggarwal has served as a member of our board of directors since February 2016 and was appointed as our Board Chair in August 2025. Mr. Aggarwal previously served as our Lead Independent Director from April 2023 to August 2025, and as our Board Chair from January 2019 to April 2023. Since February 2022, Mr. Aggarwal has served as Co-Founder and Chairman of Borderless AI, an artificial intelligence-powered human resource management platform. Since March 2016, Mr. Aggarwal has served as the Chief Executive Officer of Soar Capital, LLC, where he focuses on investments in technology companies. Previously, Mr. Aggarwal served as the Chief Financial Officer at Trulia, Inc., an online real estate company. Prior to Trulia, Mr. Aggarwal served as the Vice President of Finance at PayPal, Inc., an online payments company, and at eBay Inc. (“eBay”) in various finance roles including as Vice President of Finance. Prior to eBay, Mr. Aggarwal served as Director of Finance at Amazon, an e-commerce company. Mr. Aggarwal started his career in investment banking with Merrill Lynch, Pierce, Fenner & Smith Incorporated, a financial services company. Mr. Aggarwal currently serves as a member of the board of directors of Arlo Technologies, Inc., a home security company. In addition, in the past five years, he served on the board of directors of Sonder Holdings Inc., a hospitality company, and Yatra Online, Inc., an online travel company. Mr. Aggarwal holds a Master of Management from Northwestern University, Kellogg School of Management.
Mr. Aggarwal was selected to serve on our board of directors because of his significant operational experience as an executive with technology companies, and his deep understanding of finance, capital allocation, financial reporting, strategy, operations and risk management. Mr. Aggarwal’s experience in these matters at technology companies allows him to provide critical oversight and invaluable perspectives.
-10-
Jill Beggs. Ms. Beggs has served as a member of our board of directors since December 2023. Since July 2025, Ms. Beggs has served as Executive Vice President and Chief Executive Officer of Reinsurance for Everest Group, Ltd. (“Everest”), a leading global provider of reinsurance and insurance solutions. She previously served as Executive Vice President and Chief Operating Officer of Everest Reinsurance and, before that, led the North America Reinsurance business. Prior to Everest, from April 2002 to November 2021, Ms. Beggs served in various leadership roles at Munich Re, a global provider of reinsurance, primary insurance and insurance-related risk solutions, most recently as President of Excess & Surplus Lines for Munich Re Specialty Insurance. She is a Chartered Property and Casualty Underwriter (CPCU) and earned the Associate in Reinsurance (ARe) designation. She is a member of the Association of Professional Insurance Women (APIW) and the Central NJ Chapter of the CPCU. In 2026, Ms. Beggs was honored by APIW as Insurance Woman of the Year. Ms. Beggs holds a B.A. in Management with a concentration in Finance and minors in Mathematics and Spanish from Gettysburg College.
Ms. Beggs was selected to serve on our board of directors because of her significant operating experience in insurance. Insurance is critical to our business, and our board of directors greatly benefits from her insights, as a senior insurance executive, on the insurance market.
Betsey Stevenson. Ms. Stevenson has served as a member of our board of directors since November 2023. Since September 2019, Ms. Stevenson has served as a Professor of Economics and Public Policy at the University of Michigan Gerald R. Ford School of Public Policy. From September 2012 to September 2019, she was an Associate Professor of Public Policy and Economics with tenure. She was on leave from the University of Michigan from July 2013 to August 2015 to serve as a Member on the Council of Economic Advisers for The White House. Prior to The White House, Ms. Stevenson served as the Chief Economist for the U.S. Department of Labor, and as an Assistant Professor at the University of Pennsylvania Wharton School. Ms. Stevenson is the co-author of several economics textbooks published by Macmillan Learning. She is a frequent speaker and writer on the macroeconomy. Ms. Stevenson holds a B.A. in Economics and Mathematics from Wellesley College and an M.A. and Ph.D. in Economics from Harvard University.
Ms. Stevenson was selected to serve on our board of directors because of her significant experience in economics and public policy. Ms. Stevenson is a labor economist who has published widely in leading economics journals about the labor market and the impact of public policies on outcomes both in the labor market and for families as they adjust to changing labor market opportunities. Her research explores women’s labor market experiences, the economic forces shaping the modern family, and how these labor market experiences and economic forces on the family influence each other. This perspective greatly helps our board of directors as it positions the Company to respond to an evolving workforce.
David Lawee. Mr. Lawee has served as a member of our board of directors since November 2017. Since November 2024, Mr. Lawee has served as Co-Founder of Crucible Labs, a blockchain services company dedicated to advancing decentralized AI. From January 2013 to June 2023, Mr. Lawee served as the Founder and Managing Partner of CapitalG, a growth equity fund backed by Alphabet Inc., the parent company of Google LLC (“Google”), a global technology company. Prior to CapitalG, Mr. Lawee served as Google’s Vice President, Marketing and later as Google’s Vice President, Corporate Development. Prior to joining Google, Mr. Lawee co-founded numerous companies, including Xfire, Inc., an online gaming company which was acquired by Viacom Inc., and Mosaic Venture Partners, a venture capital firm. Mr. Lawee currently serves on the boards of directors of a number of privately held companies. Mr. Lawee holds a B.A. in Philosophy from the University of Western Ontario, an M.B.A from the University of Chicago and a B.C.L. from McGill University.
Mr. Lawee was selected to serve on our board of directors because of his extensive experience as a seasoned investor and his knowledge of technology companies. Mr. Lawee has been an active participant in corporate development of technology companies operating at scale, and brings this knowledge and perspective to our board of directors.
Janey Whiteside. Ms. Whiteside has served as a member of our board of directors since July 2023. Ms. Whiteside has served as a partner of the Consello Group (“Consello”), a financial services advisory and strategic investing platform,
-11-
since October 2022 and as its Chief Growth Officer since July 2024. She previously served as CEO of Consello’s Growth and Business Development division from October 2022 until July 2024. Prior to joining Consello, Ms. Whiteside was Executive Vice President and Chief Customer Officer of Walmart Inc., a multinational retail corporation, from August 2018 to March 2022. From 1997 to July 2018, Ms. Whiteside served at American Express Company, a diversified financial services company, in business development, marketing and operating roles in various customer segments, including most recently as EVP & GM – Global Premium Products & Benefits and EVP & GM – Global Charge Products, Benefits & Services. Ms. Whiteside serves as a member of the Board of Directors of LendingClub Corporation, a publicly traded bank, and Caravan, a celebrity-brand incubator aligned with CAA. Ms. Whiteside holds an Economics and Management Studies degree (BSc Econ) from Cardiff University.
Ms. Whiteside was selected to serve on our board of directors because of her significant operational experience as an executive leading consumer marketing and loyalty programs. Given the consumer-facing nature of our business, Ms. Whiteside brings a unique perspective to board discussions.
Of our eight directors, 50% have self-identified as female and 25% have self-identified as a member of an underrepresented community.
Director Independence
Our Class A common stock is listed on the Nasdaq Global Select Market. Under the listing rules of Nasdaq, independent directors must comprise a majority of a listed company’s board of directors. In addition, the listing rules of Nasdaq require that, subject to specified exceptions, each member of a listed company’s audit, compensation, and nominating and corporate governance committees be independent. Under the listing rules of Nasdaq, a director will only qualify as an “independent director” if, in the opinion of the company’s board of directors, the director does not have a relationship that would interfere with the exercise of independent judgment in carrying out the responsibilities of a director.
Our board of directors has undertaken a review of the independence of each director. Based on information provided by each director concerning their background, employment and affiliations, our board of directors has determined that Messrs. Aggarwal, Lawee, and Stephenson and Mses. Beggs, Hersman, Stevenson and Whiteside do not have a relationship that would interfere with the exercise of independent judgment in carrying out the responsibilities of a director and that each of these directors is “independent” as that term is defined under the listing standards of Nasdaq. In making these determinations, our board of directors considered the current and prior relationships that each non-employee director has with our company and all other facts and circumstances our board of directors deemed relevant in determining their independence, including the beneficial ownership of our capital stock by each non-employee director, and the transactions involving them, if any, described in the section titled “Certain Relationships, Related Party and Other Transactions.”
Board Leadership Structure
We believe that the structure of our board of directors and its committees provides strong overall management of our company. Our board of directors has adopted corporate governance guidelines that provide that there will at all times be a majority of independent directors on the board of directors, as defined by the listing rules of Nasdaq. The guidelines further provide that if our board of directors does not have an independent Chair, then a Lead Independent Director will be appointed by our board of directors. We believe that having independent Board leadership, either through an independent Board Chair or a Lead Independent Director, strengthens our governance, and the independent oversight role of our board of directors. Mr. Aggarwal currently serves as our Board Chair. Mr. Aggarwal was appointed our Board Chair in August 2025, in connection with Logan Green, one of our co-founders and the previous Board Chair, stepping down from our board of directors. Prior to serving as Board Chair, Mr. Aggarwal served as our Lead Independent Director from April 2023 to August 2025 and as our Board Chair from January 2019 to April 2023.
-12-
Our Board Chair serves as a leader on our board of directors. Our Board Chair determines the agenda and presides over the meetings of our board of directors. The Board Chair also has the power to call special meetings of stockholders, to preside over meetings of the stockholders, and to perform such other duties as may be requested by our board of directors. In addition, the Board Chair serves as a liaison between the board of directors and management, helping to ensure the views of the board of directors in its oversight role and other feedback from the board of directors are conveyed to management.
Our board of directors believes that this leadership structure, coupled with a majority independent board and independent board committees, enhances its independent oversight of management and management’s performance and the Company’s strategic planning, reinforces the board of directors’ ability to exercise its independent judgment to represent stockholder interests and strengthens the objectivity and integrity of the board of directors and the accountability of management. Moreover, Mr. Aggarwal has extensive experience with the Company and previously served as the Company’s Board Chair and Lead Independent Director. He also has executive-level and board experience at other public companies. Accordingly, we believe he is particularly well qualified to lead the board of directors in objectively overseeing the Company’s strategy, as well as evaluating the performance of management, including the performance of the Chief Executive Officer, and guide it through appropriate board governance processes.
Only independent directors serve on and chair the audit committee, the compensation committee and the nominating and governance committee of our board of directors. As a result of the board of directors’ committee system and majority of independent directors, the board of directors maintains effective oversight of our business operations, including independent oversight of our financial statements, executive compensation, selection of director candidates, and corporate governance programs.
Board Meetings and Committees
During our fiscal year ended December 31, 2025, our board of directors held seven meetings (including regularly scheduled and special meetings), and each director attended at least 75% of the aggregate of (i) the total number of meetings of our board of directors held during the period for which he or she served as a director and (ii) the total number of meetings held by all committees of our board of directors on which he or she served during the periods that he or she served.
Although our Corporate Governance Guidelines do not have a formal policy regarding attendance by members of our board of directors at annual meetings of stockholders, we encourage, but do not require, our directors to attend. All of the current members of our board of directors who were directors at the time attended our 2025 annual meeting of stockholders.
Our board of directors has established an audit committee, a compensation committee and a nominating and corporate governance committee. The composition and responsibilities of each of the committees of our board of directors are described below. Members will serve on these committees until their resignation or until otherwise determined by our board of directors.
Audit Committee
Our audit committee consists of Mses. Beggs and Stevenson and Messrs. Aggarwal and Stephenson, with Mr. Stephenson serving as Chairperson, each of whom meets the requirements for independence under the listing standards of Nasdaq and SEC rules and regulations. Ms. Stevenson was appointed to the audit committee in August 2025, replacing Mr. Lawee. Each member of our audit committee also meets the financial literacy requirements of the listing standards of Nasdaq. In addition, our board of directors has determined that each of Ms. Beggs and Ms. Stevenson and Messrs. Aggarwal and Stephenson is an audit committee financial expert within the meaning of Item 407(d) of Regulation S-K promulgated by the SEC. Our audit committee is responsible for, among other things:
-13-
•selecting a qualified firm to serve as the independent registered public accounting firm to audit our financial statements;
•helping to ensure the independence and overseeing performance of the independent registered public accounting firm;
•discussing the scope and results of the audit with the independent registered public accounting firm, and reviewing, with management and the independent registered public accounting firm, our interim and year-end operating results;
•reviewing our financial statements and our critical accounting policies and estimates;
•reviewing the adequacy and effectiveness of our internal controls;
•developing procedures for employees to submit concerns anonymously about questionable accounting, internal accounting controls, or audit matters;
•reviewing our policies on risk assessment and risk management;
•overseeing compliance with our code of business conduct and ethics;
•reviewing related party transactions; and
•pre-approving all audit and all permissible non-audit services to be performed by the independent registered public accounting firm.
Our audit committee operates under a written charter that satisfies the applicable rules and regulations of the SEC and the listing standards of Nasdaq. A copy of the charter for our audit committee is available on our website at https://investor.lyft.com/corporate-governance. During 2025, our audit committee held eleven meetings.
Compensation Committee
Our compensation committee consists of Ms. Whiteside and Messrs. Aggarwal and Lawee, with Mr. Lawee serving as Chairperson, each of whom meets the requirements for independence under the listing standards of Nasdaq and SEC rules and regulations. Each member of our compensation committee is also a non-employee director, as defined pursuant to Rule 16b-3 promulgated under the Securities Exchange Act of 1934, as amended (“Exchange Act”). Our compensation committee is responsible for, among other things:
•reviewing, approving, and determining, or making recommendations to our board of directors regarding, the compensation of our executive officers, including our Chief Executive Officer;
•administering our equity compensation plans;
•reviewing, approving, and administering incentive compensation and equity compensation plans;
•overseeing and monitoring our strategies, initiatives and programs related to human capital management;
•periodically reviewing the Company’s stock ownership guidelines, and monitoring compliance with such guidelines, and review, approve and administer the Company’s executive compensation clawback policy; and
•reviewing and approving our overall compensation philosophy.
-14-
Our compensation committee operates under a written charter that satisfies the applicable rules and regulations of the SEC and the listing standards of Nasdaq. A copy of the charter for our compensation committee is available on our website at https://investor.lyft.com/corporate-governance. During 2025, our compensation committee held five meetings.
Nominating and Corporate Governance Committee
Our nominating and corporate governance committee consists of Mr. Aggarwal and Mses. Hersman, Stevenson and Whiteside, with Mr. Aggarwal serving as Chairperson, each of whom meets the requirements for independence under the listing standards of Nasdaq and SEC rules and regulations. Our nominating and corporate governance committee is responsible for, among other things:
•identifying, evaluating, and selecting, or making recommendations to our board of directors regarding nominees for election to our board of directors and its committees;
•developing and overseeing the annual evaluation of the performance of our board of directors and of individual directors;
•considering and making recommendations to our board of directors regarding the composition of our board of directors and its committees;
•overseeing our corporate governance practices;
•overseeing our corporate political contributions and lobbying activities;
•overseeing our social responsibility, environmental and sustainability matters, including review and oversight of our public disclosures and stockholder engagement regarding such matters; and
•developing and making recommendations to our board of directors regarding corporate governance guidelines and matters.
Our nominating and corporate governance committee operates under a written charter that satisfies the applicable listing standards of Nasdaq. A copy of the charter for our nominating and corporate governance committee is available on our website at https://investor.lyft.com/corporate-governance. During 2025, our nominating and corporate governance committee held ten meetings.
Compensation Committee Interlocks and Insider Participation
None of the members of our compensation committee is or has been an officer or employee of our company. None of our executive officers currently serves, or in the past year has served, as a member of the board of directors or compensation committee (or other board committee performing equivalent functions) of any entity that has one or more of its executive officers serving on our board of directors or compensation committee. See the section titled “Certain Relationships, Related Party and Other Transactions” for information about related party transactions involving members of our compensation committee or their affiliates.
Considerations in Evaluating Director Nominees
Our nominating and corporate governance committee uses a variety of methods for identifying and evaluating director nominees. Our nominating and corporate governance committee is responsible for reviewing with the board of directors, on an annual basis, the appropriate characteristics, skills and experience required for the board of directors as a whole and its individual members. When evaluating director candidates, in its evaluation of director candidates, our nominating and corporate governance committee considers factors including, without limitation, issues of character, integrity, judgment, potential conflicts of interest, other commitments, and diversity of experience, area of expertise, and
-15-
viewpoints. Nominees must also have the highest personal and professional ethics and integrity and the ability to assist and support our management team based on proven achievement and leadership in the companies or institutions with which they are affiliated. Director candidates must understand the fiduciary responsibilities that are required of a member of our board of directors and have sufficient time available in the judgment of our nominating and corporate governance committee to perform all board of directors and committee responsibilities. Members of our board of directors are expected to prepare for, attend and participate in all board of directors and applicable committee meetings. Our nominating and corporate governance committee may also consider such other factors as it may deem, from time to time, are in our and our stockholders’ best interests.
Our nominating and corporate governance committee also considers the above factors and other factors as it oversees the annual board of directors and committee evaluations. After completing its review and evaluation of director candidates, our nominating and corporate governance committee recommends to our full board of directors the director nominees for selection.
Stockholder Recommendations and Nominations to the Board of Directors
Our nominating and corporate governance committee will consider director candidates recommended by stockholders holding at least one percent (1%) of the fully diluted capitalization of the Company continuously for at least twelve (12) months prior to the date of the submission of the recommendation. Our nominating and corporate governance committee will evaluate such recommendations in accordance with its charter, our amended and restated bylaws, and our policies and procedures for director candidates, as well as the regular director nominee criteria described above. This process is designed to ensure that our board of directors includes members with diverse backgrounds, skills and experience, including appropriate financial and other expertise relevant to our business. Eligible stockholders wishing to recommend a candidate for nomination should contact our Chief Legal and Business Officer or legal department in writing. Such recommendations must include information about the candidate, a statement of support by the recommending stockholder, evidence of the recommending stockholder’s ownership of our capital stock, a signed letter from the candidate confirming willingness to serve on our board of directors and any additional information required by our amended and restated bylaws. Our nominating and corporate governance committee has discretion to decide which individuals to recommend for nomination as directors.
Under our amended and restated bylaws, stockholders may also directly nominate persons for our board of directors. Any nomination must comply with the requirements set forth in our amended and restated bylaws and should be sent in writing to our Corporate Secretary at Lyft, Inc., 185 Berry St., Suite 400, San Francisco, California 94107. To be timely for the 2027 annual meeting of stockholders, nominations must be received by our Corporate Secretary observing the same deadlines for stockholder proposals discussed above under “What is the deadline to propose actions for consideration at next year’s annual meeting of stockholders or to nominate individuals to serve as directors? – Stockholder Proposals.” Any notice of director nomination submitted must include the additional information required by Rule 14a-19(b) under the Exchange Act.
Communications with the Board of Directors
Interested parties wishing to communicate with non-management members of our board of directors may do so by writing and mailing the correspondence to our Chief Legal and Business Officer at Lyft, Inc., 185 Berry St., Suite 400, San Francisco, California 94107. Each communication should set forth (i) the name and address of the stockholder, as it appears on our books, and if the shares of our common stock are held by a nominee, the name and address of the beneficial owner of such shares, and (ii) the number of shares of our common stock that are owned of record by the record holder and beneficially by the beneficial owner.
Our Chief Legal and Business Officer or legal department, in consultation with appropriate members of our board of directors as necessary, will review and, if appropriate, forward all incoming stockholder communications to the appropriate member or members of our board of directors, or if none is specified, to our Board Chair (this excludes mass
-16-
mailings, product complaints or inquiries, job inquiries, business solicitations, and patently offensive or otherwise inappropriate material).
This procedure does not apply to (i) communications to non-management directors from our officers or directors who are stockholders or (ii) stockholder proposals submitted pursuant to Rule 14a-8 under the Exchange Act, which are discussed above under “What is the deadline to propose actions for consideration at next year’s annual meeting of stockholders or to nominate individuals to serve as directors? – Stockholder Proposals.”
Corporate Governance Guidelines and Code of Business Conduct and Ethics
Our board of directors has adopted Corporate Governance Guidelines that address items such as the qualifications and responsibilities of our directors and director candidates, including independence standards, and corporate governance policies and standards applicable to us in general. In addition, our board of directors has adopted a Code of Business Conduct and Ethics that applies to all of our employees, officers and directors, including our Chief Executive Officer, Chief Financial Officer, and other executive and senior financial officers. The full text of our Corporate Governance Guidelines and our Code of Business Conduct and Ethics is posted on our website at https://investor.lyft.com/corporate-governance. We will post amendments to our Code of Business Conduct and Ethics or any waivers of our Code of Business Conduct and Ethics for directors and executive officers on the same website or in filings under the Exchange Act.
Our board of directors has adopted an Insider Trading Policy governing the purchase, sale, and/or other disposition of our securities by directors, officers, employees, and other covered persons. We believe this policy is reasonably designed to promote compliance with insider trading laws, rules and regulations, and the exchange listing standards applicable to us. A copy of our Insider Trading Policy was filed as an exhibit to our Annual Report on Form 10-K for fiscal 2025.
From time to time, we may engage in transactions in our own securities. We comply with all applicable securities laws when engaging in transactions in our securities.
Board Evaluation
Our board of directors conducts an annual evaluation of the performance of individual directors, the board as a whole, and each of the board’s standing committees, including an evaluation of the qualifications of individual members of the board of directors and its committees. The results of the evaluation and any recommendations for improvement are provided orally to our board of directors and the other standing committees of the board either by the Board Chair, a member of our legal team or a legal advisor.
Corporate Sustainability Board Oversight Framework
Our board assesses and evaluates our overall sustainability strategy and how sustainability integrates into our long-term strategy. At the committee level, our nominating and corporate governance committee is primarily responsible for oversight of our sustainability matters, including communications with stockholders and other stakeholders, such as overseeing our sustainability disclosures, reviewing the composition of our board to ensure the necessary skills are represented to oversee sustainability risks and opportunities, and educating our board on relevant sustainability matters. Our compensation committee oversees sustainability matters relating to our management and talent, including considering how our culture contributes to our sustainability efforts, and oversight of risks and goals related to human capital generally. Our audit committee oversees sustainability matters relating to disclosures, compliance, controls and risk management relating to financial matters as discussed below. Our board receives reports from the committees on these
-17-
sustainability matters and considers them in the context of our overall sustainability risk management, messaging, and disclosures.
We have regularly published sustainability disclosures since 2020.
Role of Board in Risk Oversight Process
Risk is inherent with every business, and we face a number of risks, including strategic, financial, business and operational, legal and compliance, and reputational, in the pursuit and achievement of our strategic objectives. We have designed and implemented processes to manage risk in our operations. Management is responsible for the day-to-day oversight and management of strategic, operational, legal and compliance, cybersecurity, and financial risks, while our board of directors, as a whole and assisted by its committees, has responsibility for the oversight of our risk management framework, which is designed to identify, assess, and manage risks to which our company is exposed, as well as foster a corporate culture of integrity. Consistent with this approach, our board regularly reviews our risks in the context of discussions with management, question and answer sessions, and reports from the management team at each regular board meeting. Our board also receives regular reports on all significant committee activities at each regular board meeting, and evaluates the risks inherent in significant transactions. As part of this approach, our board considers both the materiality of a risk and its likelihood in making strategic decisions and helping management to prioritize resources.
In addition, our board has tasked its designated standing committees with oversight of certain categories of risk management. Our audit committee assists our board in fulfilling its oversight responsibilities with respect to the Company’s major financial risk exposures and the steps management has taken to monitor and control those exposures, including the Company’s guidelines and policies with respect to risk assessment and risk management pertaining to financial, accounting and tax matters, internal control over financial reporting, disclosure controls and procedures, legal and regulatory compliance. Our audit committee further oversees our initiatives related to cybersecurity, including prevention and monitoring. Our audit committee also reviews the Company’s risk management framework and programs, as well as the framework by which management discusses the Company’s risk profile and risk exposure with the board of directors and its committees. Our compensation committee assesses risks relating to our executive compensation plans and arrangements, and whether our compensation policies and programs have the potential to encourage excessive risk taking. Our nominating and corporate governance committee assesses risks relating to our corporate governance practices, the independence of the board of directors, potential conflicts of interest related to director service, and social responsibility, environmental and sustainability initiatives. These committees provide regular reports on the Company’s risk management efforts to the full board of directors.
Our board of directors and its committees engage outside advisors and experts from time to time to assist in understanding threats, trends, and our risk environment in general. Our board of directors believes its current leadership structure supports the risk oversight function of the board.
Director Compensation
We maintain a compensation policy for our non-employee directors (“Outside Director Compensation Policy”) that initially became effective upon approval by our board of directors and our stockholders in connection with our initial public offering (“IPO”) in 2019. Our Outside Director Compensation Policy was developed with input from our independent compensation consultant, Pay Governance LLC (“Pay Governance”), regarding practices and compensation levels at the same group of peer companies used for executive compensation comparisons, and is intended to attract, retain, and reward non-employee directors. Our board of directors and its compensation committee periodically review the Outside Director Compensation Policy with Pay Governance’s assistance. Our board of directors last amended our Outside Director Compensation Policy in March 2022 to allow our non-employee directors to voluntarily elect to receive their quarterly cash fees in fully vested restricted stock units (“RSUs”).
-18-
We believe our Outside Director Compensation Policy provides our non-employee directors with reasonable and appropriate compensation that is commensurate with the services they provide. Based on analysis performed in 2024, which was reviewed by Pay Governance, our director compensation is competitive with the compensation paid by our peer group companies to their non-employee directors.
For 2025, the compensation paid to our non-employee directors consisted of an annual cash retainer for membership on the board of directors, additional cash retainers based on their Committee and/or board leadership responsibilities and an annual equity award in the form of RSUs as described in greater detail below. As noted above, our non-employee directors can also make a voluntary election to receive an equity award in lieu of their cash retainers.
Cash Compensation
Our Outside Director Compensation Policy provides that our non-employee directors are entitled to receive the following annual cash fees:
| Board/Committee | Chair ($)(1) | Member ($) | Lead Outside ($)(1) | |||||||||||||||||
| Board | 90,000 | 40,000 | 65,000 | |||||||||||||||||
| Audit Committee | 25,000 | 10,000 | N/A | |||||||||||||||||
| Compensation Committee | 20,000 | 8,500 | N/A | |||||||||||||||||
| Nominating and Corporate Governance Committee | 11,000 | 5,000 | N/A | |||||||||||||||||
(1)The annual cash fees for the Chair of the board of directors and Lead Outside Director are inclusive of the $40,000 annual cash fee payable as a non-employee member of the board of directors.
Each non-employee director who serves as the chair of a committee shall receive only the annual cash fee as the chair of the committee, and not the annual cash fee as a member of that committee. There are no per-meeting fees for attending board of directors or committee meetings. Cash compensation is paid quarterly in arrears and is prorated as applicable for partial periods.
Equity Compensation
Initial Award
Each new non-employee director who joins our board of directors is eligible to receive an award of RSUs at the time of the director’s appointment with a grant date fair value (determined in accordance with GAAP) equal to $260,000 multiplied by the fraction obtained by dividing (i) the number of full months during the period beginning on the date the person first becomes a non-employee director and ending on the one-year anniversary of the date of the then-most recent annual meeting of our stockholders (the “Initial Award Vesting Period”), by (ii) 12, rounded to the nearest whole share (the “Initial Award”). The Initial Award vests in equal installments quarterly over the remaining company-wide quarterly vesting dates occurring during the period beginning on the date that is three months following the date the award is granted and ending on the last day of the Initial Award Vesting Period, or, if earlier, on the day before the annual meeting of our stockholders that follows the grant date of the award, subject to the non-employee director continuing to provide services to us through the applicable vesting date.
Annual Award
Each of our non-employee directors is eligible to receive an annual award of RSUs with a grant date fair value (determined in accordance with GAAP) equal to $260,000 (the “Annual Award”). Each Annual Award is granted on the date of our annual meeting of stockholders with one-quarter vesting on each of the first four company-wide quarterly vesting dates occurring after the grant date, except that the fourth quarterly vesting date occurs no later than the day before the next annual meeting of our stockholders, subject to the non-employee director’s continued service to us through the applicable vesting date.
-19-
Change in Control
In the event of a “change in control” (as defined in our 2019 Equity Incentive Plan (the “2019 Plan”)), each non-employee director’s then-outstanding company equity awards granted under our Outside Director Compensation Policy and any other then-outstanding equity awards granted to a non-employee director (unless specifically provided otherwise in the award agreement or other written agreement with the director) will fully vest, immediately prior to the consummation of the change in control, provided that the non-employee director continues service to us through such date.
Other Non-employee Director Compensation and Expense Reimbursement Policies
Limit on Board Compensation
The Outside Director Compensation Policy includes a maximum annual limit of $1 million on the combined value of cash compensation and equity awards that may be paid, issued, or granted to a non-employee director in any fiscal year (excluding any amounts received for services as an employee or as a consultant). For purposes of this limitation, the value of equity awards is based on the grant date fair value (determined in accordance with GAAP).
Deferred Compensation
Non-employee directors can elect to defer the delivery of the settlement of RSUs issued under our Outside Director Compensation Policy pursuant to the terms of properly submitted deferral elections made in accordance with our Outside Director Compensation Policy. The RSUs generally may be deferred pursuant to such elections until the earliest of a change in control of the Company, within 60 days following the earlier of the non-employee director’s death or other separation from service, or certain future dates specified by the non-employee director.
Election to Receive Stock in lieu of Cash
Each non-employee director may elect to convert any cash compensation that they would otherwise be entitled to receive under our Outside Director Compensation Policy into an award of RSUs having a value on the grant date equal to the cash amount forgone, subject to the rules of our Outside Director Compensation Policy. If the non-employee director makes a valid election in accordance with our Outside Director Compensation Policy, each such award of RSUs will be granted on the 20th day following the last day of the fiscal quarter for which the cash compensation otherwise would be paid under the Outside Director Compensation Policy, will be fully vested on the grant date and will cover a number of shares equal to (A) the aggregate amount of cash compensation otherwise payable to the non-employee director on that date divided by (B) the closing price per share as of the grant date. In 2025, Messrs. Cohen, Lawee, Stephenson and Ms. Whiteside elected to receive all or a portion of their cash compensation in fully vested RSUs.
Stock Ownership Guidelines
Our board of directors has adopted stock ownership guidelines establishing a minimum share ownership requirement for our non-employee directors. These guidelines provide that, within five years of becoming subject to these guidelines, our non-employee directors must hold shares of our common stock (or vested, but unsettled or deferred RSUs) with a value equal to five times their annual base cash retainer (currently 5x $40,000, or $200,000). The stock ownership guidelines do not apply to any non-employee director who elects not to receive compensation. All of our non-employee directors as of December 31, 2025 were in compliance with the stock ownership guidelines.
Director Education and Other Expense Reimbursement
Each of our non-employee directors is eligible for reimbursement for up to $10,000 per two-year period for documented director education expenses related to service on the board of directors or its committees. We also reimburse our non-employee directors for reasonable, customary, and documented travel expenses related to the board of directors or
-20-
committee meetings as well as up to $5,000 per year for membership fees or other expenses related to membership in an association related to such non-employee director’s service to the board of directors or any of its committees.
Non-Employee Director Compensation Table for Fiscal 2025
Our directors who also serve as executive officers do not receive any additional compensation for their services as directors. The compensation received by Mr. Risher as an employee for the year ended December 31, 2025 is set forth in the “Summary Compensation Table” on page 48 of this proxy statement. Ms. Hersman joined our board of directors in January 2026 and therefore did not receive any compensation for fiscal 2025.
The following table provides information regarding the compensation received for services rendered to us by our non-employee directors for the year ended December 31, 2025:
| Name | Fees Earned or Paid in Cash ($) | Stock Awards ($)(1) | All Other Compensation ($) | Total ($) | |||||||||||||||||||
| Sean Aggarwal | 104,080 | 260,003 | — | 364,083 | |||||||||||||||||||
| Jill Beggs | 50,000 | 260,003 | — | 310,003 | |||||||||||||||||||
| Ariel Cohen | 19,049 | (2)(3) | — | — | 19,049 | ||||||||||||||||||
| Logan Green | 56,006 | 260,003 | — | 316,009 | |||||||||||||||||||
| David Lawee | 66,028 | (3) | 260,003 | — | 326,031 | ||||||||||||||||||
| Dave Stephenson | 65,001 | (3) | 260,003 | — | 325,004 | ||||||||||||||||||
| Betsey Stevenson | 48,587 | 260,003 | — | 308,590 | |||||||||||||||||||
| Janey Whiteside | 53,498 | (3) | 260,003 | — | 313,501 | ||||||||||||||||||
| John Zimmer | 24,892 | 260,003 | 4,045 | (4) | 288,940 | ||||||||||||||||||
(1)Represents the grant date fair value of the RSUs calculated in accordance with ASC Topic 718. The grant date fair value was calculated based on the closing price of our Class A common stock on the date of grant or, if the grant date was not a trading day, the closing price on the last market trading day prior to the date of grant.
(2)Represents a partial year of the board of directors and committee cash compensation for Mr. Cohen, who resigned from our board of directors in May 2025.
(3)Messrs. Cohen, Lawee, Stephenson and Ms. Whiteside elected to receive all or a portion of their cash retainers in the form of fully vested RSU awards. Accordingly, in lieu of their respective retainers for any portion of 2025 or January 2026, Mr. Cohen received 1,086 RSUs with a total grant fair value of $12,120, Mr. Lawee received 4,371 RSUs with a total grant date fair value of $66,028, Mr. Stephenson received 4,254 RSUs with a total grant date fair value of $65,001, and Ms. Whiteside received 3,501 RSUs with a total grant date fair value of $53,498. The retainer that each director elected to receive in RSUs is reported as though they had been paid in cash and such retainer had not been converted into RSUs. This footnote does not include any RSUs granted in January 2025 in lieu of their cash retainers earned by directors for service during the fourth quarter of 2024.
(4)For Mr. Zimmer, reflects $4,045 in security fees.
The following table lists all outstanding equity awards held by our non-employee directors as of December 31, 2025 with respect to compensation they have received as non-employee directors:
| Name | Grant Date(1) | Number of Shares of Stock or Units (#) | |||||||||
| Sean Aggarwal | 6/5/2025 | 8,371 | |||||||||
| Jill Beggs | 6/5/2025 | 8,371 | |||||||||
| David Lawee | 6/5/2025 | 8,371 | |||||||||
| David Stephenson | 6/5/2025 | 8,371 | |||||||||
| Betsey Stevenson | 6/5/2025 | 8,371 | |||||||||
| Janey Whiteside | 6/5/2025 | 8,371 | |||||||||
(1)Unless otherwise indicated, 25% of shares of our Class A common stock underlying the RSUs vest on each of the first four quarterly vesting dates occurring after June 5, 2025, except that the fourth quarterly vesting date shall occur no later than the day prior to the date of the 2026 annual meeting. Quarterly vesting dates are each of February 20, May 20, August 20, and November 20.
-21-
PROPOSAL NO. 1
ELECTION OF DIRECTORS
ELECTION OF DIRECTORS
Our board of directors is currently composed of eight members. We have a classified board of directors consisting of two classes with three directors and one class with two directors, each serving staggered three-year terms.
At each annual meeting of stockholders, directors are elected to hold office until the expiration of the term for which they are elected and until their successors have been duly elected and qualified or until their earlier resignation or removal.
Nominees
Our nominating and corporate governance committee has recommended, and our board of directors has approved, David Risher, Deborah Hersman, and Dave Stephenson as nominees for election as directors at the Annual Meeting. If elected, Messrs. Risher and Stephenson and Ms. Hersman will serve as directors until the 2029 annual meeting of stockholders and until his or her successor is duly elected and qualified. Each of the nominees is currently a director of our company. Ms. Hersman is standing for election by stockholders for the first time. Non-management directors of the Company recommended Ms. Hersman to the nominating and corporate governance committee for consideration as a director. For information concerning the relevant experience, qualifications, attributes, and skills of the nominee that led our board of directors to recommend this person as a nominee for director, please see the section titled “Board of Directors and Corporate Governance.” Each of Messrs. Risher and Stephenson and Ms. Hersman has consented to being named as a nominee in this proxy statement and to continue to serve as a director, if elected; however, in the event that one of such director nominees is unavailable for election at the time of the Annual Meeting, the Company’s proxy holders will vote for another nominee substituted by our board of directors in place of the unavailable nominee or, as an alternative, our board of directors may reduce the number of directors on our board of directors. As of the date of this proxy statement, our board of directors knows of no reason why any of such director nominees would not be able to serve as a director if elected.
If you are a stockholder of record and you sign, date and return your proxy card or vote by telephone or over the Internet but, in each case, do not give instructions with respect to the voting of directors, your shares will be voted “FOR” the election of each of Messrs. Risher and Stephenson and Ms. Hersman. If you are a street name stockholder and you do not give voting instructions to your broker or nominee, your broker will leave your shares unvoted on this matter.
Vote Required
Each director is elected by a plurality of the voting power of the shares present or represented by proxy at the Annual Meeting and entitled to vote on the election of directors at the Annual Meeting. Abstentions and broker non-votes will have no effect on the outcome of the vote. “Plurality” means that the three nominees who receive the largest number of votes cast “For” such nominees are elected as directors. As a result, any shares not voted “For” a particular nominee (whether as a result of a withhold vote or a broker non-vote) will not be counted in such nominee’s favor and will have no effect on the outcome of the election. You may vote (i) “FOR” for a director nominee or (ii) “WITHHOLD” for a director nominee.
Board Recommendation
THE BOARD OF DIRECTORS RECOMMENDS A VOTE “FOR” EACH OF THE NOMINEES NAMED ABOVE.
-22-
PROPOSAL NO. 2
RATIFICATION OF APPOINTMENT OF
INDEPENDENT REGISTERED PUBLIC ACCOUNTING FIRM
RATIFICATION OF APPOINTMENT OF
INDEPENDENT REGISTERED PUBLIC ACCOUNTING FIRM
Our audit committee has appointed PricewaterhouseCoopers LLP (“PwC”), an independent registered public accounting firm, to audit our consolidated financial statements for our fiscal year ending December 31, 2026. During our fiscal year ended December 31, 2025, PwC served as our independent registered public accounting firm.
At the Annual Meeting, our stockholders are being asked to ratify the appointment of PwC as our independent registered public accounting firm for our fiscal year ending December 31, 2026. Our audit committee is submitting the appointment of PwC to our stockholders because we value our stockholders’ views on our independent registered public accounting firm and as a matter of good corporate governance. Notwithstanding the appointment of PwC, and even if our stockholders ratify the appointment, our audit committee, in its discretion, may appoint another independent registered public accounting firm at any time during our fiscal year if our audit committee believes that such a change would be in the best interests of our company and our stockholders. If our stockholders do not ratify the appointment of PwC, our board of directors may reconsider the appointment. Representatives of PwC will be present at the Annual Meeting, and they will have an opportunity to make a statement and be available to respond to appropriate questions from our stockholders.
Fees Paid to the Independent Registered Public Accounting Firm
The following table presents fees for professional audit services and other services billed to our company by PwC for our fiscal years ended December 31, 2024 and 2025.
2024 | 2025 | |||||||
Audit Fees(1) | $ | 6,894,646 | $ | 7,413,963 | ||||
Audit-Related Fees(2) | – | – | ||||||
Tax Fees(3) | – | 13,460 | ||||||
All Other Fees(4) | 252,000 | 2,000 | ||||||
Total Fees | $ | 7,146,646 | $ | 7,429,423 | ||||
(1)Audit Fees consisted of fees incurred for services rendered for the annual audit and quarterly reviews of the Company’s consolidated financial statements, professional consultations with respect to accounting issues, registration statement filings and issuance of consents and similar matters.
(2)Audit-Related Fees consisted of fees billed for assurance and related services that are reasonably related to the performance of the audit or review of the Company’s consolidated financial statements and are not reported under “Audit Fees.” These services include accounting consultations in connection with acquisitions, attest services that are not required by statute or regulation, and consultations concerning financial accounting and reporting standards.
(3)Tax Fees include the aggregate fees billed for services rendered for tax compliance, tax advice, and tax planning.
(4)All Other Fees include the aggregate fees for compliance-related services, assessments of climate reporting readiness, and access to online accounting and tax research software applications.
Auditor Independence
In making its recommendation to ratify the appointment of PwC as our independent registered public accounting firm for the fiscal year ending December 31, 2026, our audit committee has considered whether services other than audit and audit-related services provided by PwC are compatible with maintaining the independence of PwC and has determined that PwC is independent.
Audit Committee Policy on Pre-Approval of Audit and Permissible Non-Audit Services of Independent Registered Public Accounting Firm
Our audit committee has established a policy governing our use of the services of our independent registered public accounting firm. Under this policy, our audit committee is required to pre-approve all audit services and permissible non-audit services performed by our independent registered public accounting firm in order to ensure that the provision of such services does not impair the registered public accounting firm's independence. All services provided by PwC for our fiscal years ended December 31, 2024 and 2025 were pre-approved by our audit committee in accordance with the policy.
-23-
Vote Required
The ratification of the appointment of PwC as our independent registered public accounting firm for our fiscal year ending December 31, 2026 requires the affirmative vote of a majority of the voting power of the shares of our common stock present in person or by proxy at the Annual Meeting and entitled to vote thereon. Abstentions will have the effect of a vote against this proposal, and broker non-votes will have no effect.
THE BOARD OF DIRECTORS RECOMMENDS A VOTE “FOR” THE RATIFICATION OF THE APPOINTMENT OF PRICEWATERHOUSECOOPERS LLP AS OUR INDEPENDENT REGISTERED PUBLIC ACCOUNTING FIRM.
-24-
REPORT OF THE AUDIT COMMITTEE
The audit committee is a committee of the board of directors comprised solely of independent directors as required by the listing standards of the Nasdaq Stock Market and rules and regulations of the SEC. The composition of the audit committee, the attributes of its members and the responsibilities of the audit committee, as reflected in its charter, are intended to be in accordance with applicable requirements for corporate audit committees. With respect to Lyft’s financial reporting process, Lyft’s management is responsible for (1) establishing and maintaining internal controls and (2) preparing Lyft’s consolidated financial statements. Lyft’s independent registered public accounting firm, PricewaterhouseCoopers LLP (“PwC”), is responsible for performing an independent audit of Lyft’s consolidated financial statements. It is the responsibility of the audit committee to oversee these activities. It is not the responsibility of the audit committee to prepare Lyft’s financial statements. These are the fundamental responsibilities of management. In the performance of its oversight function, the audit committee has:
•reviewed and discussed the audited financial statements with management and PwC;
•discussed with PwC the matters required to be discussed by applicable requirements of the Public Company Accounting Oversight Board (“PCAOB”) and the SEC; and
•received the written disclosures and the letter from PwC required by applicable requirements of the PCAOB regarding the independent registered public accounting firm’s communications with the audit committee concerning independence, and has discussed with PwC its independence.
Based on the audit committee’s review and discussions referred to in the bulleted list above, the audit committee recommended to the board of directors that the audited financial statements be included in Lyft’s Annual Report on Form 10-K for the fiscal year ended December 31, 2025 for filing with the SEC.
Respectfully submitted by the members of the audit committee of the board of directors:
Dave Stephenson (Chairperson)
Sean Aggarwal
Jill Beggs
Betsey Stevenson
This report of the audit committee is required by the SEC and, in accordance with the SEC’s rules, will not be deemed to be part of or incorporated by reference by any general statement incorporating by reference this proxy statement into any filing under the Securities Act of 1933, as amended (“Securities Act”), or under the Securities Exchange Act of 1934, as amended (“Exchange Act”), except to the extent that we specifically incorporate this information by reference, and will not otherwise be deemed “soliciting material” or “filed” under either the Securities Act or the Exchange Act.
-25-
PROPOSAL NO. 3
ADVISORY VOTE ON THE COMPENSATION OF OUR NAMED EXECUTIVE OFFICERS
ADVISORY VOTE ON THE COMPENSATION OF OUR NAMED EXECUTIVE OFFICERS
The Dodd-Frank Wall Street Reform and Consumer Protection Act of 2010 (the “Dodd-Frank Act”) enables our stockholders to approve, on an advisory or non-binding basis, the compensation of our named executive officers as disclosed pursuant to Section 14A of the Exchange Act. This proposal, commonly known as a “Say-on-Pay” proposal, gives our stockholders the opportunity to express their views on our named executive officers’ compensation as a whole. This vote is not intended to address any specific item of compensation or any specific named executive officer, but rather the overall compensation of all of our named executive officers and the philosophy, policies and practices described in this proxy statement.
The Say-on-Pay vote is advisory, and therefore is not binding on us, our compensation committee or our board of directors. The Say-on-Pay vote will, however, provide information to us regarding investor sentiment about our executive compensation philosophy, policies and practices, which our compensation committee will be able to consider when determining executive compensation for the remainder of the current fiscal year and beyond. Our board of directors and our compensation committee value the opinions of our stockholders. To the extent there is any significant vote against the compensation of our named executive officers as disclosed in this proxy statement, we will endeavor to communicate with stockholders to better understand the concerns that influenced the vote and consider our stockholders’ concerns, and our compensation committee will evaluate whether any actions are necessary to address those concerns.
We believe that the information provided in the section titled “Executive Compensation,” and in particular the information discussed in the section titled “Executive Compensation—Compensation Philosophy,” demonstrates that our executive compensation program was designed appropriately and is working to ensure management’s interests are aligned with our stockholders’ interests to support long-term value creation. Accordingly, we ask our stockholders to vote “FOR” the following resolution at the Annual Meeting:
“RESOLVED, that the stockholders approve, on an advisory basis, the compensation paid to our named executive officers, as disclosed in the proxy statement for the Annual Meeting pursuant to the compensation disclosure rules of the SEC, including the compensation discussion and analysis, compensation tables and narrative discussion and other related disclosure.”
Vote Required
The approval, on an advisory basis, of the compensation of our named executive officers requires the affirmative vote of a majority of the voting power of the shares of our common stock present in person or by proxy at the Annual Meeting and entitled to vote thereon to be approved. Abstentions will have the effect of a vote against this proposal, and broker non-votes will have no effect.
As an advisory vote, the result of this proposal is non-binding. Although the vote is non-binding, our board of directors and our compensation committee value the opinions of our stockholders and will consider the outcome of the vote when making future compensation decisions for our named executive officers.
THE BOARD OF DIRECTORS RECOMMENDS A VOTE “FOR” THE APPROVAL, ON AN ADVISORY BASIS, OF THE COMPENSATION OF OUR NAMED EXECUTIVE OFFICERS.
-26-
PROPOSAL NO. 4
ADVISORY VOTE ON THE FREQUENCY OF
FUTURE STOCKHOLDER ADVISORY VOTES ON THE COMPENSATION OF
OUR NAMED EXECUTIVE OFFICERS
The Dodd-Frank Act and Section 14A of the Exchange Act enable our stockholders to indicate their preference at least once every six years regarding how frequently we should solicit a non-binding advisory vote on the compensation of our named executive officers as disclosed in our proxy statement. Accordingly, we are asking our stockholders to indicate whether they would prefer an advisory vote every one year, two years or three years. Alternatively, stockholders may abstain from casting a vote.
After considering the benefits and consequences of each alternative, our board of directors recommends that the advisory vote on the compensation of our named executive officers be submitted to the stockholders every year. In formulating its recommendation, our board of directors considered that compensation decisions are made annually and that an annual advisory vote on the compensation of our named executive officers will allow stockholders to provide more frequent and direct input on our compensation philosophy, policies and practices.
Vote Required
The alternative among one year, two years or three years that receives the highest number of votes cast at the Annual Meeting by stockholders entitled to vote thereon will be deemed to be the frequency preferred by our stockholders. Abstentions and broker non-votes will have no effect on this proposal.
While our board of directors believes that its recommendation is appropriate at this time, the stockholders are not voting to approve or disapprove that recommendation, but are instead asked to indicate their preference, on an advisory basis, as to whether non-binding future stockholder advisory votes on the compensation of our named executive officers should be held every year, two years or three years.
As an advisory vote, the result of this proposal is non-binding. Although the vote is non-binding, our board of directors and our compensation committee value the opinions of our stockholders in this matter and, to the extent there is any significant vote in favor of one time period over another, will consider the outcome of this vote when making future decisions regarding the frequency of holding future stockholder advisory votes on the compensation of our named executive officers.
THE BOARD OF DIRECTORS RECOMMENDS A VOTE TO HOLD FUTURE STOCKHOLDER ADVISORY VOTES ON THE COMPENSATION OF OUR NAMED EXECUTIVE OFFICERS EVERY “ONE YEAR.”
-27-
PROPOSAL NO. 5
AMENDMENT TO OUR RESTATED CERTIFICATE OF INCORPORATION TO REMOVE INOPERATIVE PROVISIONS, INCLUDING REFERENCES TO CLASS B COMMON STOCK AND UPDATE OTHER MISCELLANEOUS PROVISIONS
Background
We are seeking our stockholders’ approval to amend our Restated Certificate of Incorporation to remove any and all references to shares of Class B common stock and make other conforming changes with respect to the same.
On August 15, 2025, each outstanding share of Class B common stock automatically converted into one share of Class A common stock, pursuant to the terms of our Restated Certificate of Incorporation. In connection with such conversion, we filed the Certificate of Retirement with the Secretary of State of the State of Delaware to retire the Class B common stock that were issued but no longer outstanding following the conversion, which had the effect of reducing the total number of authorized shares of Class B common stock to 87,220,291 shares under the Restated Certificate of Incorporation. There are no shares of Class B common stock outstanding, and we have no plans to issue additional shares of Class B common stock in the future. As a result, all references to Class B common stock in the Restated Certificate of Incorporation are superfluous.
Proposal No. 5 seeks stockholder approval to amend the Restated Certificate of Incorporation to remove all references to Class B common stock, including the terms and rights associated with such stock, as well as provisions relating to the conversion of Class B common stock to Class A common stock. Approval of amendments contemplated by this Proposal No. 5 would also result in the elimination of certain definitions that pertain entirely to these omitted provisions. As a result, the authorized equity capitalization of the Company would consist of 18,000,000,000 shares of Class A common stock and 1,000,000,000 shares of undesignated Preferred Stock, par value $0.00001 per share. The proposed amendments do not effectuate any substantive changes to the rights of the Company or its stockholders; rather, they just simplify the Restated Certificate of Incorporation and make it more readable by eliminating provisions that are no longer applicable.
In proposing these amendments to the Restated Certificate of Incorporation, our board of directors seeks to streamline our Restated Certificate of Incorporation and remove historical provisions that are no longer applicable. Our board of directors unanimously concluded, on the recommendation of the nominating and governance committee, that the proposed changes contemplated by this Proposal No. 5 are advisable and in the best interest of the Company and our stockholders.
A marked version of the applicable provisions of our Restated Certificate of Incorporation with the amendments proposed by this Proposal No. 5 is included with this proxy statement as Appendix B with deletions in strikethrough and additions in underline. This description of such amendments to our Restated Certificate of Incorporation is qualified in its entirety by reference to the text of the amendments as set forth in Appendix B.
If this Proposal No. 5 is approved by the requisite vote of our stockholders at the Annual Meeting, the proposed amendments to the Restated Certificate of Incorporation reflected in Appendix B would be included in an amended and restated certificate of incorporation and would become effective upon the filing of such amended and restated certificate of incorporation with the Secretary of State of the State of Delaware, which we would file promptly following the Annual Meeting. If this Proposal No. 5 is not approved by the requisite votes of our stockholders at the Annual Meeting, the amendments to our Restated Certificate of Incorporation described in this Proposal No. 5 and reflected in Appendix B would not become effective and would not be included in an amended and restated certificate of incorporation reflecting any other amendments adopted at the Annual Meeting, and the provisions of our Restated Certificate of Incorporation that reference Class B common stock would remain in the Restated Certificate of Incorporation.
The approval of this Proposal No. 5 is not conditioned upon the approval of Proposal No. 6, which also proposes amendments to our Restated Certificate of Incorporation. If stockholders approve both of these proposals, then we intend to file a single amended and restated certificate of incorporation with the Secretary of State of the State of Delaware, to be effective upon such filing, that incorporates the amendments contemplated by any and all of the proposals that pass.
-28-
The amendments contemplated by this Proposal No. 5 will not change any substantive terms of the Class A common stock or impact any powers or rights of our stockholders. The Class A common stock will continue to be listed and trade on the Nasdaq under the symbol “LYFT.”
Vote Required
The approval of the proposed amendments to our Restated Certificate of Incorporation to remove inoperative provisions, including references to Class B common stock and make other conforming changes with respect to the same requires the affirmative vote of the holders of at least two-thirds of the voting power of our outstanding common stock entitled to vote generally in the election of directors. Abstentions and broker non-votes will have the effect of a vote “AGAINST” this proposal.
THE BOARD OF DIRECTORS RECOMMENDS A VOTE “FOR” THE AMENDMENT OF OUR RESTATED CERTIFICATE OF INCORPORATION TO REMOVE INOPERATIVE PROVISIONS, INCLUDING REFERENCES TO CLASS B COMMON STOCK AND UPDATE OTHER MISCELLANEOUS PROVISIONS.
-29-
PROPOSAL NO. 6
AMENDMENT TO OUR RESTATED CERTIFICATE OF INCORPORATION TO REFLECT DELAWARE LAW PROVISIONS REGARDING OFFICER EXCULPATION
In August 2022, the State of Delaware, which is the Company’s state of incorporation, enacted legislation that enables Delaware corporations to limit the liability of certain of their officers in limited circumstances. Specifically, Section 102(b)(7) of the General Corporation Law of the State of Delaware (“DGCL”) was amended to authorize corporations to adopt a provision in their certificate of incorporation to eliminate or limit monetary liability of certain corporate officers for breach of the fiduciary duty of care. Previously, the DGCL allowed only exculpation of directors for breach of the fiduciary duty of care. As amended, Section 102(b)(7) of the DGCL authorizes corporations to provide for exculpation of the following officers: (i) the corporation’s president, chief executive officer, chief operating officer, chief financial officer, chief legal officer, controller, treasurer or chief accounting officer, (ii) “named executive officers” identified in the corporation’s SEC filings, and (iii) other individuals who have agreed to be identified as officers of the corporation.
In light of this update in the law, we are proposing to amend Article IX of our Restated Certificate of Incorporation to provide for exculpation of certain of the Company’s officers from liability in specific circumstances, as permitted by Delaware law. The Delaware statute only permits exculpation for direct claims (and not for derivative claims made by stockholders on behalf of the corporation) and does not apply to breaches of the duty of loyalty, acts or omissions not in good faith or that involve intentional misconduct or a knowing violation of law, or any transaction in which the officer derived an improper personal benefit. The amendment we are proposing would only permit exculpation to the extent permitted under Delaware law.
Additionally, consistent with the language for exculpation of directors currently included in Article IX of our Restated Certificate of Incorporation, we are further proposing to amend Article IX to provide that no amendment, repeal or elimination of Article IX or adoption of a provision inconsistent with Article IX will eliminate, reduce or otherwise adversely affect any limitation on the personal liability of an officer of the Company existing at the time of such amendment, repeal, elimination, or adoption. As noted, this is consistent with the protection currently provided to directors.
The proposed amendment of the Restated Certificate of Incorporation would substantially align the protections for our officers with those protections currently afforded to our directors. Our board of directors believes that it is advisable to provide for more consistent treatment of officers and directors with respect to exculpation from liability under Delaware law given that both officers and directors have similar fiduciary duties. In addition, our board of directors believes the proposed amendment would better position the Company to attract top officer candidates. In the absence of this exculpatory protection, qualified officers might be deterred from serving as officers due to exposure to personal liability and the risk that substantial expense will be incurred in defending lawsuits, regardless of merit. Our board of directors also believes this proposed amendment will strike a balance between stockholders’ interest in accountability and their interest in the Company being able to attract and retain quality officers to work on its behalf. The officer exculpation provision could also potentially reduce litigation costs associated with certain lawsuits. Further, our board of directors considered the extent of exculpation provided under the law and, accordingly, the extent of our proposed amendment, which is consistent with the relevant Delaware statute, and believes that it is reasonable and does not unduly impact stockholder rights.
Therefore, taking into account the narrow class and type of claims for which officers’ liability would be exculpated, and the benefits our board of directors believes would accrue to the Company and its stockholders in the form, among other things, of an enhanced ability to attract and retain talented officers, our board of directors has unanimously determined that it is advisable and in the best interests of the Company and our stockholders to amend our Restated Certificate of Incorporation to provide such exculpation to the extent permitted by Delaware law, and has approved the amendment subject to stockholders’ approval. In accordance with Delaware law, we hereby seek approval of the amendment of our Restated Certificate of Incorporation to reflect certain Delaware law provisions regarding officer exculpation.
-30-
A marked version of the applicable provisions of our Restated Certificate of Incorporation with the amendments proposed by this Proposal No. 6 is included with this proxy statement as Appendix C with deletions in strikethrough and additions in underline. This description of such amendments to our Restated Certificate of Incorporation is qualified in its entirety by reference to the text of the amendments as set forth in Appendix C.
If this Proposal No. 6 is approved by the requisite vote of our stockholders at the Annual Meeting, the proposed amendments to the Restated Certificate of Incorporation reflected in Appendix C would be included in an amended and restated certificate of incorporation and would become effective upon the filing of such amended and restated certificate of incorporation with the Secretary of State of the State of Delaware, which we would file promptly following the Annual Meeting. If this Proposal No. 6 is not approved by the requisite votes of our stockholders at the Annual Meeting, the amendments to our Restated Certificate of Incorporation described in this Proposal No. 6 and reflected in Appendix C would not become effective and would not be included in an amended and restated certificate of incorporation reflecting any other amendments adopted at the Annual Meeting, and the provisions of our Restated Certificate of Incorporation that provide for director exculpation would remain the same.
The approval of this Proposal No. 6 is not conditioned upon the approval of Proposal No. 5, which also proposes amendments to our Restated Certificate of Incorporation. If stockholders approve both of these proposals, then we intend to file a single amended and restated certificate of incorporation with the Secretary of State of the State of Delaware, to be effective upon such filing, that incorporates the amendments contemplated by Proposals 5 and 6. If only Proposal No. 6 passes, we will only file the amendment to the Certificate of Incorporation contemplated by Proposal No. 6.
Vote Required
The approval of the amendment to the Restated Certificate of Incorporation to reflect Delaware law provisions regarding officer exculpation requires the affirmative vote of a majority of the voting power of the outstanding shares of our common stock entitled to vote thereon. Abstentions and broker non-votes will have the effect of a vote “AGAINST” this proposal.
THE BOARD OF DIRECTORS RECOMMENDS A VOTE “FOR” THE AMENDMENT TO OUR RESTATED CERTIFICATE OF INCORPORATION TO REFLECT DELAWARE LAW PROVISIONS REGARDING OFFICER EXCULPATION.
-31-
EXECUTIVE OFFICERS
The following table identifies certain information about our executive officers as of March 31, 2026. Our executive officers are appointed by, and serve at the discretion of, our board of directors. There are no family relationships among any of our directors or executive officers.
| Name | Age | Position | ||||||||||||
| David Risher | 60 | Chief Executive Officer and Director | ||||||||||||
Erin Brewer | 54 | Chief Financial Officer | ||||||||||||
Lindsay Llewellyn | 43 | Chief Legal and Business Officer and Corporate Secretary | ||||||||||||
For Mr. Risher’s biography, see “Nominees for Director.”
Erin Brewer. Ms. Brewer has served as our Chief Financial Officer since July 2023. From May 2020 to October 2022, Ms. Brewer served as Managing Director Enterprise Finance at Charles Schwab & Co., Inc., a financial services company. From September 2018 to April 2020, Ms. Brewer served as Head of Strategy and Finance at Atlassian Corporation, a software development company. Previously, Ms. Brewer served in a variety of roles for McKesson Corporation from August 2005 to July 2018, most recently as EVP and Chief Accounting Officer from 2016 to 2018 and before that in a variety of senior investor relations, financial planning and analysis, and finance roles. Ms. Brewer also served as a board member for McKesson Ventures from 2016 to 2018. Ms. Brewer holds a B.S. in Accounting from Purdue University and an M.B.A. from the Haas School of Business at the University of California, Berkeley.
Lindsay Llewellyn. Ms. Llewellyn has served as our Chief Legal and Business Officer and Corporate Secretary since July 2025. She previously served as our Chief Legal Officer and Secretary from July 2024 to July 2025, as our General Counsel and Secretary from November 2021 to July 2024, as our acting General Counsel from January 2021 to June 2021, as our Vice President, Associate General Counsel from June 2021 to November 2021 and from March 2017 to December 2020, as our Managing Counsel, Litigation from August 2015 to March 2017, and as our Litigation Counsel from September 2014 to August 2015. From 2008 to 2014, Ms. Llewellyn served as an associate at Winston & Strawn LLP, a law firm. Ms. Llewellyn holds a B.A. in Political Science and Communications from the University of Southern California and a J.D. from the University of California, College of the Law, San Francisco (formerly University of California, Hastings College of Law).
-32-
EXECUTIVE COMPENSATION
Compensation Discussion and Analysis
This Compensation Discussion and Analysis summarizes our compensation philosophy, objectives and structure for the Named Executive Officers (“NEOs”) listed below.
•David Risher, Chief Executive Officer and member of our board of directors
•Erin Brewer, Chief Financial Officer
•Lindsay Llewellyn, Chief Legal and Business Officer and Corporate Secretary
Executive Summary
The goal of our executive compensation program is to attract, retain and motivate highly qualified and customer-obsessed leaders who are responsible for our success. Our executive compensation program is also designed to support a pay-for-performance culture and to promote strong alignment between the interests of our executives and our stockholders.
2025 Performance Highlights
In 2025, we continued to execute on our mission to serve and connect while delivering improved financial performance and positioning the Company for future success. Highlights of our 2025 performance include:
•Achieved record Gross Bookings of $18,507.0 million (+15% year over year).
•Generated $1,115.6 million in free cash flow (+46% year over year).
•Delivered $528.8 million in Adjusted EBITDA (+38% year over year).
•Supported 945.5 million rides (+14% year over year).
•Expanded our platform to Europe through our acquisition of Freenow in July 2025.
•Continued to deliver incremental value to our riders through partnerships with DoorDash and United Airlines and enhanced our Business Travel rewards program.
•Accelerated our autonomous vehicle strategy through expanded partnerships with Waymo, May Mobility, and Baidu.
*Adjusted EBITDA and free cash flow are non-GAAP financial measures. See Appendix A for a full reconciliation.
Evolution of Our Compensation Program and 2025 Compensation Highlights
Our executive compensation program has continued to evolve since our initial public offering in 2019. In 2025, we introduced a performance-based annual cash incentive plan that included all of our named executive officers for the first time. Additional details on the evolution of our program are summarized below:
-33-
| 2023 | 2024 | 2025 | ||||||
| Non-CEO NEO Compensation | Non-CEO NEO Compensation | Non-CEO NEO Compensation | ||||||
| Introduced performance-based restricted stock units (“PSUs”) for annual equity award to NEOs. | Increased emphasis on PSUs to 50% of target annual equity awards for our non-CEO NEOs. | Adopted new performance-based annual cash incentive plan that includes all NEOs. | ||||||
| CEO Compensation | CEO Compensation | CEO Compensation | ||||||
| Awarded 100% PSUs to our CEO in connection with his new hire package. | No new equity awards. | No new equity awards. | ||||||
| Dilution/Broader Long Term Incentive Program | Dilution/Broader Long Term Incentive Program | Dilution/Broader Long Term Incentive Program | ||||||
| Reduced our annual stock-based compensation (SBC) to $485 million (down from $751 million in 2022). | Further reduced our annual SBC to $331 million. | Maintained roughly flat annual SBC at $322 million. | ||||||
| Shifted our tax withholding method for equity awards from “sell to cover” to “net share settlement” to help offset ongoing dilution. | Authorized a program to repurchase up to $750 million of our Class A common stock and completed $500 million in repurchases during the year. In February 2026, we authorized a new share repurchase program for the repurchase of up to $1.0 billion of our Class A common stock, in addition to amounts remaining available under our initial repurchase program. | |||||||
Additional highlights and details of our 2025 executive compensation program include:
•No increases to base salary. The compensation committee did not make any changes to the base salaries of our NEOs for 2025.
•Adopted executive annual cash incentive plan. Consistent with the evolution of our executive compensation program, we adopted a performance-based cash incentive plan that included all of our NEOs. The new bonus opportunity for our non-CEO NEOs was taken into account in planning for their fiscal 2025 annual equity awards such that the target fiscal 2025 annual equity values were lower than they would have been had we not adopted the new cash incentive plan. Based on our achievement of the pre-defined targets for Gross Bookings and Adjusted EBITDA, payouts under the plan were 108.5% of target.
•Continued emphasis on PSUs. Maintained our target mix of 50% PSUs and 50% RSUs for our participating NEOs.
•No new CEO award. As noted above, our CEO did not receive an equity award in 2024 or 2025 (and is not expected to receive one in 2026). Our CEO’s sole equity award as an employee remains his 2023 new hire grant of PSUs tied to aggressive stock price goals. To date, our CEO has achieved two of the nine stock price goals. For the next goal to be achieved, we must sustain a $25 stock price (on average) for 90 consecutive calendar days prior to the end of the performance period. For all goals to be achieved, we must sustain an $80 stock price (on average) for 90 consecutive calendar days.
Additional information on the equity awards granted to our NEOs in 2025 can be found in the section titled “2025 Equity Awards to NEOs” on page 38 of this proxy statement.
-34-
The table below shows the 2025 pay mix between base salaries, cash bonus, the grant date fair values of equity awards granted in 2025, and the non-equity incentive plan compensation for our NEOs that are set forth in the “Summary Compensation Table” on page 48 of this proxy statement.
| Name | Base Salary (%) | Cash Bonus (%) | Non-Equity Incentive Plan Compensation (%) | Equity (%) | |||||||||||||
| David Risher | 27.9% | 0.0% | 72.1% | 0.0% | (1) | ||||||||||||
Erin Brewer | 10.9% | 0.0% | 5.9% | 83.2% | |||||||||||||
Lindsay Llewellyn | 12.2% | 8.5% | 6.6% | 72.7% | |||||||||||||
(1)Mr. Risher received a PSU award upon his appointment to CEO in 2023, which is intended to be Mr. Risher’s sole equity award for the initial four years of his employment. Therefore, Mr. Risher did not receive an annual equity award in 2025 and is not expected to receive any incremental equity awards until 2027 unless there are future unexpected changes in the Company’s business or other unforeseen factors that the Board or compensation committee determine would make it in the best interest of the Company and its stockholders to grant additional equity award(s) to him.
Note: Our NEOs are eligible for certain perquisites and other personal benefits. Such benefits are not considered a key element of our NEOs’ compensation and therefore are not shown or included in the calculations in the table above. Additional discussion of perquisites and other personal benefits is set forth in “Executive Perquisites and Benefits” on page 44 of this proxy statement and in the “Summary Compensation Table” on page 48 of this proxy statement.
Determining Executive Compensation
Role of Board, Compensation Committee and its Advisors
The compensation committee is responsible for recommending to the board of directors for approval the primary components of compensation for our NEOs. The compensation committee considers the scope and complexity of each executive’s role and impact to our business, market data, individual performance as well as the recommendations from Mr. Risher (except with respect to his own compensation), and makes recommendations to the board of directors for approval. Individual performance evaluations are typically conducted in the fourth quarter of each year prior to setting the compensation for the following year, and for Mr. Risher specifically, the board of directors also assesses CEO performance across the Company's core values including leadership, customer experience, talent development, and ability to create an inclusive environment. The board of directors also considers feedback gathered in connection with a 360-performance review that takes into account alignment with our values. The board of directors considers the compensation committee’s recommendations as well as these same factors considered by the compensation committee in approving compensation for the NEOs.
The compensation committee has the authority to engage its own advisors to assist in carrying out its responsibilities. The compensation committee engaged Pay Governance, a leading independent compensation consulting firm to serve as its independent compensation consultant. Pay Governance provides consulting services to more than 10% of the S&P 500 and has been retained by the compensation committee since 2017. Pay Governance advises our compensation committee on general marketplace trends in executive compensation, makes or reviews proposals for executive compensation programs, recommends peer companies for inclusion in competitive market analyses of compensation and otherwise advises the compensation committee with regard to how our compensation practices compare with those of other companies. Pay Governance does not provide any services to Lyft other than as directed by the compensation committee. The compensation committee has assessed the independence of Pay Governance taking into account, among other things, the enhanced independence standards and factors set forth in Exchange Act Rule 10C-1 and the applicable listing standards of Nasdaq, and concluded that there are no conflicts of interest regarding the work that Pay Governance performs for the compensation committee and that Pay Governance satisfies the independence standards under Nasdaq.
Role of Management
Our Chief People Officer reviews our executive compensation practices against our peer companies and provides input to Mr. Risher on market levels of compensation. Based on his review of each executive’s performance and input
-35-
from our Chief People Officer and Pay Governance, Mr. Risher provides the compensation committee and the board of directors with compensation recommendations for all of our NEOs other than himself.
Comparative Market Data (Peer Group)
In making its recommendation to the board of directors on compensation arrangements, for our NEOs, the compensation committee reviews market data for executive compensation using relevant published survey data as well as compensation data from the proxy statements of our peer group, discussed below. The market data elements that were reviewed included base salary, target bonus, target total cash (consisting of salary and target bonus), long term incentive value and total target compensation (consisting of salary, target bonus, and target long-term incentives).
Each year our compensation committee reviews, with assistance from Pay Governance and input from management, the then-current compensation peer group and selection criteria used for determining the peer group. While the compensation committee believes there is value in understanding market practices for similarly-sized public companies, the compensation committee also recognizes that we are a company with a transformative business model and that there are a limited number of directly comparable companies of similar size to Lyft. In addition, we compete in a highly-competitive talent market for executive, engineering and other key talent against both start-ups and larger, well-established technology companies. Based on our experience, we do not believe non-technology companies in industries like transportation and logistics are the appropriate comparables for our business. Given these factors, in reviewing our peer group, the compensation committee focused on U.S. publicly-traded technology companies based on the following targeted selection criteria:
| Criteria | Detail | ||||
| Revenue | Approximately 33% to 300% of Lyft’s revenue | ||||
| Market Capitalization | Approximately 25% to 400% of Lyft’s market cap | ||||
| Headcount | 33% to 300% of Lyft’s headcount | ||||
| Location | Preference for companies principally located in the San Francisco Bay Area | ||||
| Other | Preference for an appropriate balance of larger and smaller companies by market capitalization that positions Lyft, within the peer companies, generally at/close to the median for market capitalization | ||||
Using the criteria described above, the compensation committee approved the following 25 companies as the peer group for fiscal 2025:
Affirm Holdings, Inc. | Dropbox, Inc. | RingCentral, Inc. | Viasat, Inc. | ||||||||
| AppFolio, Inc. | Etsy, Inc. | Shutterstock, Inc. | Yelp Inc. | ||||||||
| Asana, Inc. | Five9, Inc. | SoFi Technologies, Inc. | Zillow Group, Inc. | ||||||||
| BILL Holdings, Inc.* | GoDaddy Inc. | Squarespace, Inc. | ZipRecruiter, Inc. | ||||||||
| Box, Inc. | Guidewire Software, Inc. | Teladoc Health, Inc. | |||||||||
| Carvana Co. | Nutanix, Inc. | Toast, Inc. | |||||||||
| Compass, Inc. | Pure Storage, Inc. | Tripadvisor, Inc. | |||||||||
*New peer company for fiscal 2025
For fiscal 2025 compensation decisions, the compensation committee revised the previous peer group to exclude Alteryx because it is no longer a publicly traded company. BILL Holdings, Inc. was added to the peer group, as it met the market capitalization and location criteria described above. At the time the fiscal 2025 peer group was approved in Q3 of 2024, Lyft’s market capitalization was between the 40th and 50th percentiles and Lyft’s revenue for the last four quarters was above the 90th percentile among the peer group companies.
-36-
For fiscal 2026 compensation decisions, the compensation committee revised the peer group to exclude three companies (Carvana, Inc., Shutterstock, Inc., and ZipRecruiter, Inc.) due to size considerations and one company (Squarespace, Inc.) because it is no longer a publicly-traded company. In addition, Maplebear Inc., and Shift4 Payments, Inc. were added to the peer group based on the selection criteria described above.
Stockholder Advisory Vote
Our board of directors has determined to hold an advisory vote on our executive compensation program on an annual basis. This provides our stockholders with an opportunity to provide feedback on our executive compensation program each year. After receiving approximately 72% support at our annual stockholder meeting in 2024 for our 2023 executive compensation program, at our annual stockholder meeting in 2025, we received approximately 94% support, based on the votes cast, for our 2024 executive compensation program. We believe that the strong support we received for our 2024 executive compensation program and the significant year over year increase indicates that stockholders generally support the changes we have made to our executive compensation program and therefore the compensation committee did not make material changes to our framework for 2025.
We continue to take opportunities to gain a more detailed understanding of our stockholders’ views relating to executive compensation and to respond to any specific questions or concerns related to our program by meeting with our largest stockholders and engaging in conversations covering a broad range of topics, including our strategy, operations, governance, as well as executive and broader equity compensation. Since our last Say on Pay vote, we met with several of our largest stockholders and engaged in conversations covering a broad range of topics including our strategy, operations, governance, as well as executive and broader equity compensation.
2025 Executive Compensation
Base Salary
We use base salary to provide a fixed amount of cash compensation to our NEOs for their services. During fiscal 2025, none of our NEOs received a salary increase. For 2025, the annualized base salaries of all our NEOs was $650,000 per year, except Mr. Risher, who received $725,000.
Annual Cash Incentive
For fiscal year 2025, the compensation committee recommended, and the board of directors approved, an annual cash bonus for all NEOs based on performance goals consisting of Gross Bookings and Adjusted EBITDA, each weighted 50%. These performance goals and related achievement levels were selected and designed to focus the NEOs on increasing Gross Bookings and Adjusted EBITDA, in each case, as reported by the Company in its public reporting (with the required threshold, target and maximum levels, as shown in the table below), which the compensation committee and board of directors believe will increase stockholder value consistent with our overall growth strategy. The target bonus for Mr. Risher was set at 100% of his base salary. Mr. Risher also received an additional bonus opportunity equal to a target of $1,000,000, based on the same metrics and weightings. The incremental $1,000,000 cash bonus opportunity was provided to Mr. Risher to drive performance and accountability against the Company’s Gross Bookings and Adjusted EBITDA goals specific to fiscal year 2025. The target bonus for all other NEOs was set at 50% of the applicable NEO’s base salary, with maximum bonus capped at 150%, with achievement with respect to each measure based on a straight-line linear interpolation between threshold and maximum.
For fiscal 2025, Mr. Risher received a performance bonus of $1,871,625 and Mses. Brewer and Llewellyn both received $352,625, which was 108.5% of their target bonus, based on performance as described below.
-37-
Gross Bookings (1) | Adjusted EBITDA (2) | % Payout | |||||||||
($ in billions) | ($ in millions) | ||||||||||
| Threshold | $17.71 | $478 | 50 | % | |||||||
Target | $18.62 | $502 | 100 | % | |||||||
| Maximum | $19.56 | $527 | 150 | % | |||||||
(1)Gross Bookings refers to the total dollar value of transactions including any applicable taxes, tolls and fees, for rides and other offerings provided by the Company, excluding tips to drivers.
(2)Adjusted EBITDA is a non-GAAP financial measure. Please see the explanation of non-GAAP measures as well as the reconciliation from GAAP to non-GAAP measures contained in Appendix A under the sections titled “Supplemental Information About Financial Measures” and “GAAP to Non-GAAP Reconciliations.”
Actual Gross Bookings and Adjusted EBITDA performance, as reported by the Company in its public reporting, were $18.51 billion and $528.8 million, respectively. For the purposes of calculating the NEOs’ annual cash incentive payout percentage of 108.5%, the Gross Booking actual performance value was adjusted to exclude Gross Bookings related to Freenow and TBR Global Chauffeuring (“TBR”) because these acquisitions occurred during the course of 2025 and the performance goal targets established under the annual incentive plan were based on organic Gross Bookings. The compensation committee determined to adjust the Gross Bookings actual performance value to exclude results from Freenow and TBR to more accurately reflect the Company’s organic business growth in 2025 without the impact of acquisition-related growth. This had the effect of reducing the overall payout percentage under the annual cash incentive plan. The compensation committee determined to not adjust the Adjusted EBITDA actual performance value to exclude results from Freenow and TBR, since any such adjustments would have had no impact on the Company’s achievement of the maximum threshold for the Adjusted EBITDA metric.
Other Cash Bonus Arrangements During 2025
During 2025, Ms. Llewellyn received a $250,000 payment which represented the second and final installment of the $500,000 retention bonus she was awarded in connection with her promotion to Chief Legal Officer in 2024.
Ms. Llewellyn also received a cash bonus payment of $200,000 during 2025 in recognition of her service as our interim Chief People Officer from November 2024 through July of 2025.
2025 Equity Awards to NEOs (excluding CEO)
We have historically used equity compensation as our primary element of compensation and to differentiate compensation levels among our NEOs. We believe that emphasizing equity compensation for our NEOs encourages them to have a long-term focus since the value of their equity compensation depends on the performance of our stock over multiple years. The size of equity awards is determined by the compensation committee and board of directors after consideration of market data as described further above in “Comparative Market Data (Peer Group),” input from our CEO as well as the scope of responsibilities of each NEO and their impact on our business. In addition, the compensation committee considers the impact of the equity awards on our overall equity award budget and associated stock-based compensation expense.
In 2025, our CEO did not receive an equity award. The only equity award he has received as an employee was granted in 2023 in connection with his hiring and is described in the section “2023 CEO PSU” below. For our other NEOs, we continued to use a combination of 50% time-based RSUs and 50% PSUs (based on target value).
The time-based RSUs granted in connection with our 2025 annual equity award program vest based on the NEO's continued employment in twelve equal installments over a three-year period in accordance with the Company’s standard quarterly vesting schedule. RSU awards are subject to the terms of our 2019 Plan and an applicable award agreement thereunder.
The PSUs granted in connection with our 2025 equity award program become eligible to vest upon the attainment of goals for our stock price within defined performance periods, plus a further requirement of continued service through
-38-
the later of goal attainment and the first eligible vesting date. The PSUs are divided into four tranches, each with its own performance period, performance condition and minimum vesting period. Each tranche is eligible to vest based on the achievement of a stock price goal over a consecutive 90 calendar day period during the performance periods applicable to the tranche, as set forth in the table below. The approach of using stock price as the performance criteria was selected based on a desire to further strengthen the alignment between pay and performance for our NEOs and to promote alignment between the compensation program of our CEO and our other NEOs. To earn 100% of the PSUs would require our stock price to appreciate by approximately 75% from the starting price of $13.53, which was the trailing 20-trading day average closing stock price prior to January 24, 2025.
In addition to the stock price goals, the PSUs also require continued service through the later of the first eligible vesting date, as shown in the table below, and the date the compensation committee certifies the attainment of the applicable performance condition. The first eligible vesting date is tied to the number of years after the grant date of the PSU award and represents the date the NEO will need to be employed in order to receive the vested award, if the performance conditions have been met for each designated performance period. This feature was included to ensure that even if all of the stock price goals are achieved early in the performance period, these PSUs still will continue to provide four years of retention and stockholder alignment.
The following table shows a summary of the performance-related terms for each tranche of the PSUs, including the applicable performance period and stock price goal. 25% of the PSUs were eligible to be earned based on attainment of each of the four stock price goals. The stock prices were determined using a 15% year-over-year increase from a stock price equal to the trailing 20-trading day average closing price prior to January 24, 2025.
| Tranche | Performance Period (measured from the date of grant) | % of PSUs | Performance Condition (Price per Share) | First Eligible Vesting Date | ||||||||||
1 | Two years | 25% | $15.56 | 2/20/2026 | ||||||||||
2 | Three years | 25% | $17.89 | 2/20/2027 | ||||||||||
3 | Four years | 25% | $20.57 | 2/20/2028 | ||||||||||
4 | Four years | 25% | $23.66 | 2/20/2029 | ||||||||||
If the average closing price of the Company’s Class A common stock fails to reach the stock price goal for a particular tranche of the PSUs over a consecutive 90 calendar day period during the designated performance period, or if the participant terminates service to the Company before achieving a performance condition, or terminates service prior to the first eligible vesting date, no portion of that tranche will vest (except in the limited circumstances described below for a qualifying termination of employment within three months prior to a Change in Control (as defined in our 2019 Plan)).
The stock price goals and number of shares of the Company’s Class A common stock underlying the PSUs will be adjusted to reflect any stock splits, stock dividends, combinations, reorganizations, reclassifications, or similar events under our 2019 Plan. PSU awards are subject to the terms of our 2019 Plan and an applicable award agreement thereunder.
The stock price target of $15.56 for the first tranche was achieved during the third quarter of 2025. The stock price target of $17.89 for the second tranche and $20.57 for the third tranche were achieved during the fourth quarter of 2025. The last tranche was not achieved through the end of 2025.
The following table shows the grant date fair values of equity awards granted to our NEOs in 2025. The values our NEOs may realize from these awards depend on our stock price as these awards vest and settle (or after forfeited, as applicable) over the vesting period, and may be different than the values shown below.
-39-
Grant Date Fair Value ($)(1) | |||||||||||
| Name | Annual RSU(2) | Annual PSU(3)(4) | Total ($) | ||||||||
| David Risher | — | — | — | ||||||||
| Erin Brewer | 2,369,698 | 2,587,896 | 4,957,594 | ||||||||
| Lindsay Llewellyn | 1,849,741 | 2,020,070 | 3,869,811 | ||||||||
(1)Amounts reported represent the grant date fair value of the equity awards calculated in accordance with ASC Topic 718 considering any valuation assumptions discussed in Note 2 “Summary of Significant Accounting Policies - Stock-Based Compensation” and Note 12 “Common Stock and Employee Stock Plans” in the footnotes of our Annual Report on Form 10-K for the year ended December 31, 2025.
(2)The grant date fair value was calculated based on the closing price of our Class A common stock on the date of grant or, if the grant date was not a trading day, the closing price on the last market trading day prior to the date of grant.
(3)The grant date fair value of these equity awards ranges from $11.34 to $12.07 per share, which was determined using a Monte Carlo simulation model, incorporating the following assumptions: (i) risk-free interest rate of 4.21% based on the U.S. Treasury yield curve in effect on the date of grant date; (ii) cost of equity of 15.72% derived from the modified capital asset pricing model; (iii) expected dividend yield of 0% and (iv) expected volatility of 66.5%, based on the historical volatility of our Class A Common Stock.
(4)Mr. Risher received a PSU award upon his appointment to CEO in 2023, which is intended to be Mr. Risher’s sole equity award for the initial four years of his employment. Therefore, Mr. Risher did not receive an annual equity award in 2024 or 2025 and is not expected to receive any incremental equity awards until 2027, unless there are future unexpected changes in the Company’s business or other unforeseen factors that the Board or compensation committee determine would make it in the best interest of the Company and its stockholders to grant additional equity award(s) to him.
2023 CEO PSU
Mr. Risher received an award of PSUs in 2023 in connection with his initial employment and did not receive an annual equity award in 2024 or 2025 and is not expected to receive a grant in 2026.
The PSUs granted to Mr. Risher in 2023 cover a total of up to 12,250,000 shares of the Company’s Class A common stock. The PSUs become eligible to vest upon the attainment of nine stock price targets over a five-year performance period beginning on April 17, 2023. As shown in the table below, the stock price targets require significant increases from the base price of $10.00 per share. The base price reflects the average of the closing price of our Class A common stock over the consecutive 30-trading day period up to and including March 24, 2023 (the last trading day before the grant approval date).
The following table shows a summary of each tranche, including the number of PSUs eligible to vest per tranche and the applicable stock price target.
Tranche | Company Stock Target Price | Percentage Price Increase over Base Price | PSUs Eligible to Vest | ||||||||
1 | $15.00 | 50% | 1,225,000 | ||||||||
2 | $20.00 | 100% | 1,225,000 | ||||||||
3 | $25.00 | 150% | 1,470,000 | ||||||||
4 | $30.00 | 200% | 1,470,000 | ||||||||
5 | $40.00 | 300% | 1,715,000 | ||||||||
6 | $50.00 | 400% | 1,715,000 | ||||||||
7 | $60.00 | 500% | 1,102,500 | ||||||||
8 | $70.00 | 600% | 1,102,500 | ||||||||
9 | $80.00 | 700% | 1,225,000 | ||||||||
Total | 12,250,000 | ||||||||||
The stock price target of $15.00 for the first tranche was achieved during the second quarter of 2024. The stock price of $20.00 for the second tranche was achieved during the fourth quarter of 2025. None of the other tranches were achieved through the end of 2025.
Other important features of the PSU award include:
•100% performance-based: no portion of the award is eligible to be earned based on continued service alone.
-40-
•Sustained stock price requirement: to earn the shares tied to each tranche, the average of our stock price over 90 consecutive calendar days must be at least at or above the applicable goal. This requires that the stock price growth is sustained for a meaningful period in order for the performance goal to be considered met and shares to become eligible to vest.
•Additional time-based vesting after a goal is attained: once achievement of a stock price target has been certified by the compensation committee, 50% of the PSUs in the applicable tranche will vest. Subject to continued service, the remaining 50% will vest on the one year anniversary of such certification. The PSUs are subject to Mr. Risher’s continued service as our CEO with us through the applicable vesting dates.
•No additional awards during initial employment term: the compensation committee intends for this award to be the only equity award Mr. Risher receives during the first four years of his tenure as our CEO.
In the event of a Change in Control (as defined in our 2019 Plan and as described under the section titled “Potential Payments Upon Termination or Change in Control” on page 52 of this proxy statement) of the Company before the end of the performance period, the price in the Change in Control will be used to measure attainment of the stock price targets shown above. For the single tranche (if any) that has a stock price target that is immediately above the Change in Control price (and to the extent not previously achieved), linear interpolation will be used to provide prorated vesting of that tranche. Immediately prior to the closing of the Change in Control, all PSUs earned based on the Change in Control price will vest and any unearned PSUs will be forfeited.
In the event of termination of Mr. Risher’s employment for any reason, any portion of the award for which the applicable stock price target has not been achieved generally will be forfeited. If Mr. Risher experiences an involuntary termination of employment by the Company without “cause” (and not due to his death or disability), or if Mr. Risher resigns with “good reason”, any unearned PSUs will remain outstanding and eligible to vest if one of the stock price targets is achieved (for the requisite 90 calendar day period) within two months after the date of his termination.
Mr. Risher’s award is also subject to our Clawback Policy, as amended on October 2, 2023, as it may be further amended from time to time in order to comply with the requirements of applicable law or the rules of the stock exchange upon which the Company’s Class A common stock is listed.
The CEO Employment Letter also provides that Mr. Risher will be eligible to participate in the Company’s Executive Change in Control and Severance Plan (or “Executive Severance Plan”). For additional details on payments that may be due to Mr. Risher in certain termination scenarios, see “Potential Payments Upon Termination or Change in Control” beginning on page 52 of this proxy statement.
Prior Non-CEO NEO PSUs
2024 PSUs
In 2024, our Non-CEO NEOs, Mses. Brewer and Llewellyn, received PSUs covering 101,133 shares and 238,178 shares, respectively, under our 2024 equity award program.
The PSUs granted in connection with our 2024 equity award program become eligible to vest upon the attainment of goals for our stock price within defined performance periods, plus a further requirement of continued service through the eligible vesting date. The PSUs are divided into four tranches, each with its own performance period, performance condition and minimum vesting period. Each tranche is eligible to vest based on the achievement of a stock price goal over a consecutive 90 calendar day period during the performance periods applicable to the tranche, as set forth in the table below. The approach of using stock price as the performance criteria was selected based on a desire to further strengthen the alignment between pay and performance for our NEOs and to promote alignment between the compensation program of our CEO and our other NEOs. To earn 100% of the PSUs would require our stock price to appreciate by approximately 75% from the starting price of $17.03, which was the 20-day average closing stock price starting on February 16, 2024.
The following table shows a summary of the performance-related terms for each tranche of the PSUs, including performance period and stock price goal. 25% of the PSUs were eligible to be earned based on attainment of each of the
-41-
four stock price goals. The stock prices were determined using a 15% year-over-year increase from a stock price equal to the 20-day average closing stock price starting from February 16, 2024. In addition to the stock price goals, the PSUs also require continued service through the later of the first eligible vesting date, as shown in the table below, and the date the compensation committee certifies the attainment of the applicable performance condition.
| Tranche | Performance Period (measured from the date of grant) | Performance Condition (Price per Share) | First Eligible Vesting Date | ||||||||
1 | Two years | $19.58 | 4/20/2025 | ||||||||
2 | Three years | $22.52 | 4/20/2026 | ||||||||
3 | Four years | $25.90 | 4/20/2027 | ||||||||
4 | Four years | $29.79 | 4/20/2028 | ||||||||
The stock price target of $19.58 for the first tranche was achieved during the fourth quarter of 2025. The other three remaining tranches have not been achieved through the end of 2025.
In 2023, upon her appointment as our Chief Financial Officer, Ms. Brewer received PSUs covering 909,091 shares. The PSUs become eligible to vest upon the attainment of goals for our stock price within defined performance periods, plus a further requirement of continued service through the eligible vesting date. The PSU award is divided into four tranches, each with its own performance period, performance condition and minimum vesting period. 25% of the PSUs were eligible to be earned based on attainment of each of the four stock price goals over a consecutive 90 calendar day period during the applicable performance period. In addition to the stock price goals, the PSUs also require continued service through the later of the first eligible vesting date, and the date the compensation committee certifies the attainment of the applicable performance condition. To earn 100% of the PSUs would require our stock price to appreciate by approximately 100% from the date of grant.
| Tranche | Performance Period (measured from the date of grant) | % of PSUs | Performance Condition (Price per Share) | ||||||||
1 | Two years | 25% | $12.50 | ||||||||
2 | Three years | 25% | $15.00 | ||||||||
3 | Four years | 25% | $17.50 | ||||||||
4 | Four years | 25% | $20.00 | ||||||||
The stock price target of $20.00 for the fourth tranche was achieved during the fourth quarter of 2025. The stock price targets of $12.50 for the first tranche, $15.00 for the second tranche and $17.50 for the third tranche were achieved during 2024.
2026 Compensation Decisions
In January 2026, the compensation committee and board of directors conducted their annual executive compensation review and made fiscal 2026 compensation decisions for our continuing NEOs as set forth below. In making these decisions, the compensation committee and board of directors considered a competitive analysis of market data of our compensation peer group, the performance of the Company in 2025 and the Company’s 2026 operating and financial goals as well as the other factors described in “Role of Board, Compensation Committee and its Advisors” above. Highlights of our fiscal 2026 NEO compensation program include:
•Maintained base salaries of NEOs.
-42-
•2026 equity awards for our non-CEO NEOs will be composed of 50% PSUs, with 25% of the shares subject to such PSUs vesting upon the achievement of each of four specified stock price targets, and 50% RSUs that vest quarterly over a three-year period.
•No additional equity awards for our CEO.
Annual Cash Incentive
For fiscal year 2026, the compensation committee recommended, and the board of directors approved, an annual cash bonus for all NEOs based on performance goals consisting of Gross Bookings and Adjusted EBITDA, each weighted 50%. These performance target levels were selected and designed to continue to focus the NEOs on increasing Gross Bookings and Adjusted EBITDA, in each case, as reported by the Company in its public reporting, which the compensation committee and board of directors believe will increase stockholder value consistent with our overall growth strategy. The target bonus has been set at 100% of Mr. Risher’s base salary, and 50% for all other NEOs’ base salary, with maximum achievement at 150%, with achievement with respect to each measure based on a straight line linear interpolation between threshold and maximum.
2026 Equity Awards to Continuing NEOs
In February 2026, we continued to use a combination of time-based RSUs and PSUs for our NEOs (other than our CEO) and continued the emphasis on performance-based equity. For NEOs who received annual equity awards in fiscal 2026, the percentage of PSUs remained at 50% of each NEO’s target annual equity value. PSU awards are subject to the terms of our 2019 Plan and an applicable award agreement thereunder.
The RSUs granted in connection with our 2026 annual equity award program vest based on the NEO’s continued employment in twelve equal installments over a three-year period in accordance with the Company’s standard quarterly vesting schedule.
The PSUs granted in connection with our 2026 equity award program continue to be 100% performance-based. The PSUs become eligible to vest upon the attainment of goals for our stock price within defined performance periods, plus a further requirement of continued service through the eligible vesting date. The PSUs are divided into four tranches, each with its own performance period, performance condition and minimum vesting period. Each tranche is eligible to vest based on the achievement of a stock price goal over a consecutive 90 calendar day period during the performance periods set forth below. To earn 100% of the PSUs would require our stock price to appreciate by approximately 75% from the starting price of $18.37, which is the 20-day trailing average closing stock price prior to February 4, 2026.
The following table shows a summary of each tranche and the applicable stock price goal. For our NEOs who received PSUs in connection with our 2026 equity award program, 25% of their PSUs are eligible to be earned based on attainment of each of the four stock price goals. The stock prices below were determined using a 15% year-over-year increase from a stock price equal to the 20-day trailing average closing stock price prior to February 4, 2026. In addition to the stock price goals, the PSUs also require continued service through the later of the first eligible vesting date and the date the compensation committee certifies the attainment of the applicable performance condition.
| Tranche | Performance Period (measured from the date of grant) | % of PSUs | Performance Condition (Price per Share) | First Eligible Vesting Date | ||||||||||
1 | Two years | 25% | $21.13 | 2/20/2027 | ||||||||||
2 | Three years | 25% | $24.30 | 2/20/2028 | ||||||||||
3 | Four years | 25% | $27.95 | 2/20/2029 | ||||||||||
4 | Four years | 25% | $32.14 | 2/20/2030 | ||||||||||
-43-
Other Compensation Information
Executive Perquisites and Benefits
We do not view perquisites or other personal benefits as a significant component of our executive compensation program. We generally do not provide perquisites or other personal benefits to our NEOs, except in situations where we believe it is appropriate to assist an individual in the performance of his or her duties or to address bona fide safety and security concerns. Consistent with this philosophy, the general health, wellness, and retirement benefits provided to our NEOs are consistent with those provided to other full-time, salaried employees. Our NEOs also are eligible to participate in our employee stock purchase plan on the same terms as our other eligible employees.
Pursuant to the terms of the CEO Employment Letter, we engaged a third-party consulting firm to perform an assessment of security risks to our CEO. As a result of this assessment, in 2025, we paid for costs related to personal security and maintaining a security program for Mr. Risher. We consider these security arrangements to be reasonable and necessary for our CEO’s protection, and they are for the Company’s benefit. While we do not view these security arrangements as personal benefits, the amount paid by the Company in 2025 in relation to the security program for Mr. Risher, as determined under SEC rules, is set forth in the “Summary Compensation Table” on page 48 of this proxy statement.
Succession Planning
One of the most critical roles of our board of directors is to oversee annual succession planning, executive compensation, and leadership development. The compensation committee periodically reviews and discusses with the board of directors and, as the compensation committee deems appropriate, the nominating and corporate governance committee, corporate succession plans for our executive officers. As part of this process, plans for the development, retention, and, if necessary, replacement of our Chief Executive Officer and our other executive officers are conducted. Successors for key roles in our organization are identified based on our core values, role-related skills, individual performance, and potential. In connection with the process, we also take note of any talent gaps and formulate individualized plans to support ongoing leadership development.
Executive Stock Ownership Guidelines
We maintain stock ownership guidelines establishing a minimum share ownership requirement for our CEO and other executive officers. The stock ownership guidelines provide that our CEO must hold shares of our common stock with a value equal to five times their annual base salary and other executive officers must hold shares of our common stock with a value equal to three times their annual base salary. Our executive officers generally have until five years after the date they are hired or become subject to the guidelines to comply with the minimum stock ownership requirement. Ownership is defined as shares or equivalents owned outright. Unvested RSUs and options for shares of our common stock whether or not vested are not considered owned for this purpose. Compliance is measured annually at the end of our fiscal year (December 31st) based on year-end stock price and then reviewed by the compensation committee in the first regularly scheduled compensation committee meeting of the subsequent year. Once a covered executive has satisfied the guidelines as of an annual review (such date, the “measurement date”), the executive will be deemed to have continued to satisfy the guidelines regardless of subsequent stock price declines, as long as the executive continues to own as of the last day of each future fiscal year the number of shares required to meet the guideline as of the measurement date.
As of December 31, 2025, all of our executive officers have either achieved the requisite ownership threshold or are within the five-year grace period.
Insider Trading Policy; Hedging and Pledging Policy
As described above, our board of directors has adopted an Insider Trading Policy in order to take an active role in the prevention of insider trading violations by our executive officers, non-employee directors, employees and other related individuals. In addition to forbidding the trading of securities (of Lyft or otherwise) based on material nonpublic information, the Insider Trading Policy strictly prohibits hedging or pledging of Lyft securities, as well as engaging in any other derivative securities transaction, using Lyft securities as collateral for loans, and holding Lyft securities in margin
-44-
accounts. We believe the Insider Trading Policy is aligned with current market governance best practices and will continue to monitor industry trends on an ongoing basis.
Clawback Policy
We maintain an Executive Compensation Clawback Policy applicable to our current and former executive officers. Our board of directors amended and restated our Clawback Policy, effective as of October 2, 2023. Our Clawback Policy provides that, in the event that our financial statements filed with the SEC are subject to a material negative restatement less than three years after the original filing date of such financial statements upon which an executive officer’s incentive compensation was calculated or determined, then we have the right to recover from such executive officer (and/or to cancel, without payment of any consideration whatsoever, to the extent not yet paid or delivered) an amount corresponding to any performance-based compensation (including any cash bonus or equity-based award), which will be the amount that we determine would not have been granted, vested or paid had our financial results as originally reported been equal to our financial results as subsequently restated.
Post-Termination Compensation
Upon recommendation of our compensation committee, our board of directors has adopted the Executive Severance Plan to provide standardized payments and benefits to the NEOs in the event of certain qualifying terminations, including an involuntary termination of employment without “cause” or a termination with “good reason”. Our Executive Severance Plan does not provide for benefits in the event of a termination for cause, due to death or disability, or for a voluntary termination without good reason. This Executive Severance Plan was developed with input from Pay Governance regarding severance practices at comparable companies and requires a “double-trigger” for the acceleration of any equity awards in connection with a qualifying change in control. We believe that these provisions support our retention objectives by helping our NEOs and other key employees maintain continued focus and dedication to their responsibilities to maximize stockholder value and maintain executive focus regardless of a potential or actual change in control event.
The 2023 PSU award granted to Mr. Risher contains the following special terms in connection with a qualifying termination:
•In the event of Mr. Risher’s involuntary termination and provided that Mr. Risher satisfies the requirements for receiving severance under the Executive Severance Plan, then to the extent any stock price goal applicable to a tranche is achieved within the two-month period following such involuntary termination, the tranche will vest.
•In the event of a change in control of the Company before the end of the performance period, the performance period will be shortened and one or more tranches of the PSU award may become eligible to vest if the price in the Change in Control satisfies the applicable stock price target for such tranche not yet achieved under the award. For the single tranche (if any) that has a stock price target that is immediately above the change in control price (to the extent not previously achieved), linear interpolation will be used to prorate the portion of that tranche that becomes eligible to vest. Any portion of the award described in the immediately preceding two sentences or for which the applicable stock price target previously has been achieved (as certified by the compensation committee), would be eligible for accelerated vesting in connection with a qualifying termination as provided under the Executive Severance Plan (as described further below under “Potential Payments Upon Termination or Change in Control”). Accordingly, if a qualifying termination occurs within 3 months prior to the change in control, then provided Mr. Risher satisfies the requirement for receiving severance under the Executive Severance Plan, as of immediately prior to the closing of the change in control, any portion of the PSU award that is earned based on the change in control price and any portion of the PSU award previously earned but not yet vested will vest. Any remaining unearned portion will be forfeited.
•An involuntary termination without achievement of the applicable stock price target does not entitle Mr. Risher to vesting under his 2023 PSU award.
We maintain a Death/Disability Benefit Policy that provides each of our eligible employees, including our NEOs (or their estates, as applicable), certain company-paid health care premiums and accelerated vesting of their time-based
-45-
equity awards (with the aggregate value of accelerated vesting not to exceed $10 million), upon such employee’s death or “disability” subject to the terms and conditions set forth therein.
We also believe that these protections serve our retention objectives by helping our NEOs and other key employees maintain continued focus and dedication to their responsibilities to maximize stockholder value, including in the event of a transaction that could result in a change in control of the Company. For more information, see the section titled “Potential Payments Upon Termination or Change in Control” beginning on page 52 of this proxy statement.
Deductibility of Executive Compensation
Section 162(m) of the Code generally limits the amount we may deduct from our federal income taxes for compensation paid to our CEO and certain current and former officers within the meaning of Section 162(m) of the Code to $1 million per individual per year.
Generally, we have not previously taken the deductibility limit imposed by Section 162(m) of the Code into consideration in setting compensation and do not currently have any immediate plans to do so. We may, in our judgment, authorize compensation payments that are not fully tax deductible when we believe that such payments are appropriate to attract and retain executive talent or meet other business objectives.
Accounting for Stock-Based Compensation
We follow the Financial Accounting Standard Board’s Accounting Standards Codification Topic 718 (“FASB ASC Topic 718”) for our stock-based compensation awards. FASB ASC Topic 718 requires us to measure the compensation expense for all share-based payment awards made to our employees and members of our board of directors, including RSUs covering our equity securities and other stock awards, based on the grant date fair value of these awards. This calculation is performed for accounting purposes and reported in the executive compensation tables required by the federal securities laws, even though the recipient of the awards may never realize any value from their awards.
Equity Award Granting Practice
We have not granted stock options or other similar types of awards as part of our equity compensation programs since prior to 2017. RSUs, PSUs or other types of equity awards that we grant to directors, officers and employees do not include an exercise price.
Risk Considerations
The compensation committee, in cooperation with its independent compensation consultant and our management team, reviewed our 2025 compensation programs. The compensation committee believes that the mix and design of the elements of such programs do not encourage our employees to assume excessive risks and accordingly are not reasonably likely to have a material adverse effect on the Company. We have designed our compensation programs to be balanced so that our employees are focused on both short and long-term financial and operational performance. Goals are appropriately set with targets that encourage growth in the business, while doing so in a manner that encourages profitability and long-term stockholder value creation.
COMPENSATION COMMITTEE REPORT
The compensation committee has reviewed and discussed with management the Compensation Discussion and Analysis provided above. Based on such review and discussion, the compensation committee has recommended to the board of directors that the Compensation Discussion and Analysis be included in this proxy statement and our Annual Report on Form 10-K for the fiscal year ended December 31, 2025.
Respectfully submitted by the members of the compensation committee of the board of directors:
| David Lawee (Chair) | ||
| Sean Aggarwal | ||
| Janey Whiteside | ||
-46-
This report of the compensation committee is required by the SEC and, in accordance with the SEC’s rules, will not be deemed to be part of or incorporated by reference by any general statement incorporating by reference this proxy statement into any filing under the Securities Act of 1933, as amended (“Securities Act”), or under the Securities Exchange Act of 1934, as amended (“Exchange Act”), except to the extent that we specifically incorporate this information by reference, and will not otherwise be deemed “soliciting material” or “filed” under either the Securities Act or the Exchange Act.
-47-
Summary Compensation Table
The amounts below represent the compensation awarded to or earned by or paid to our NEOs for the three years ended December 31, 2025:
| Name and Principal Position | Year | Salary ($) | Bonus ($)(1) | Stock Awards ($)(2) (3) | Non-Equity Incentive Plan Compensation ($)(4) | All Other Compensation ($)(5) | Total ($) | ||||||||||||||||
| David Risher | 2025 | 725,000 | — | — | 1,871,625 | 227,463 | 2,824,088 | ||||||||||||||||
Chief Executive Officer and member of our board of directors | 2024 | 725,000 | — | — | 530,054 | 66,185 | 1,321,239 | ||||||||||||||||
| 2023 | 514,969 | 4,250,000 | 73,322,375 | — | 150,683 | 78,238,027 | |||||||||||||||||
| Erin Brewer | 2025 | 650,000 | — | 4,957,594 | 352,625 | 11,151 | 5,971,370 | ||||||||||||||||
Chief Financial Officer | 2024 | 650,000 | 325,000 | 3,301,341 | — | 9,189 | 4,285,530 | ||||||||||||||||
| 2023 | 300,000 | 325,000 | 21,257,110 | — | 1,550 | 21,883,660 | |||||||||||||||||
Lindsay Llewellyn | 2025 | 650,000 | 450,000 | 3,869,811 | 352,625 | 11,041 | 5,333,477 | ||||||||||||||||
Chief Legal and Business Officer and Corporate Secretary | 2024 | 534,516 | 250,000 | 7,181,452 | — | 8,825 | 7,974,793 | ||||||||||||||||
(1)For Ms. Llewellyn, the 2025 amount reflects the second half of a $500,000 retention bonus paid within thirty (30) days of her effective date in connection with her promotion to Chief Legal Officer in 2024 as well as a one time cash bonus of $200,000 in connection with her interim service as Chief People Officer.
(2)Represents the aggregate grant date fair value of the RSUs and PSUs calculated in accordance with ASC Topic 718. The grant date fair value of the RSUs was calculated based on the closing price of our Class A common stock on the date of grant or, if the grant date was not a trading day, the closing price on the last market trading day prior to the date of grant, and does not take into account any estimated forfeitures related to time-based vesting conditions. Such grant date fair values of the PSUs granted in each of 2025, 2024 and 2023 were calculated based on fair values ranging from $5.99 to $16.09 per share, which was determined using a Monte Carlo simulation model. The Monte Carlo simulation included various assumptions in estimating the fair value of stock-based awards such as the stock price volatility and risk-free interest rate as of the valuation date corresponding to the length of time remaining in the performance period.
(3)Mr. Risher received a PSU award upon his appointment to CEO in 2023, which is intended to be Mr. Risher’s sole equity award for the initial four years of his employment. Therefore, Mr. Risher did not receive an annual equity award in 2025 and is not expected to receive any incremental equity awards until 2027.
(4)The 2025 amount reflects a performance-based annual cash incentive bonus earned for 2025 performance. Please see “Annual Cash Incentive” in the Compensation Discussion & Analysis section of this proxy statement.
(5)For Mr. Risher, the 2025 amount includes $221,646 in personal security services, $3,140 in taxable meals, $2,437 in tax gross-ups, and $240 in life insurance premiums. For Ms. Brewer, the 2025 amount includes $6,335 in personal security services, $2,380 in taxable meals, $120 in Lyft passes, $77 in 401(k) match, $1,999 in tax gross-ups, and $240 in life insurance premiums. For Ms. Llewellyn, the 2025 amount includes $6,335 in personal security, $2,120 in taxable meals, $370 in Lyft passes, $385 in 401(k) match, $1,591 in tax gross-ups, and $240 in life insurance premiums.
-48-
Grants of Plan-Based Awards in 2025
The following table sets forth information regarding the grants of plan-based awards granted to our NEOs during the year ended December 31, 2025:
Grant Date | Estimated Future Payments Under Non-Equity Incentive Plan Awards | Stock Awards(1) | |||||||||||||||||||||
| Name | Threshold ($) | Target ($) | Maximum ($) | Type of Award(2) | Number of Units (#)(3)(4) | Grant Date Fair Value ($) (5)(6) | |||||||||||||||||
| David Risher | — | 862,500 | 1,725,000 | 2,587,500 | — | — | — | ||||||||||||||||
Erin Brewer | — | 162,500 | 325,000 | 487,500 | — | — | — | ||||||||||||||||
| 2/6/2025 | — | — | — | RSU | 168,422 | 2,369,698 | |||||||||||||||||
| 2/6/2025 | — | — | — | PSU | 218,480 | 2,587,896 | |||||||||||||||||
Lindsay Llewellyn | — | 162,500 | 325,000 | 487,500 | — | — | — | ||||||||||||||||
| 2/6/2025 | — | — | — | RSU | 131,467 | 1,849,741 | |||||||||||||||||
| 2/6/2025 | — | — | — | PSU | 170,542 | 2,020,070 | |||||||||||||||||
(1)Each of the equity awards was granted pursuant to our 2019 Equity Incentive Plan.
(2)RSUs will vest upon the satisfaction of a time-based condition before the award expiration date. Each of Mses. Brewer and Llewellyn’s PSUs become eligible to vest upon the attainment of goals for our stock price and are divided into four tranches, each with its own performance period and performance condition, and vesting additionally is subject to their continued service with us.
(3)The number of units for the RSUs were determined by taking 50% of Mses. Brewer and Llewellyn’s total equity target value for 2025 and using the 20-day trailing average stock price prior to January 24, 2025, to convert such portion of the target value into units. The RSUs had a fair value per unit of $13.53.
(4)The number of units for the PSUs were determined by taking 50% of Mses. Brewer and Llewellyn’s total equity target value for 2025 and using an average grant date fair value per unit of $10.43, which was determined using a Monte Carlo simulation model, to convert such portion of the target value into units.
(5)Amounts reported represent the grant date fair value of the equity awards calculated in accordance with ASC Topic 718. The grant date fair value of the RSUs was calculated based on the closing price of our Class A common stock on the date of grant or, if the grant date was not a trading day, the closing price on the last market trading day prior to the date of grant, and does not take into account any estimated forfeitures related to time-based vesting conditions.
(6)Amounts reported represent the grant date fair value of the equity awards calculated in accordance with ASC Topic 718. The grant date fair value of the PSUs ranged from $11.34 to $12.07 per share, which was determined using a Monte Carlo simulation model, incorporating the following assumptions: (i) risk-free interest rate of 4.21% based on the U.S. Treasury yield curve in effect on the date of grant date; (ii) cost of equity of 15.72% derived from the modified capital asset pricing model; (iii) expected dividend yield of 0% and (iv) expected volatility of 66.5%, based on the historical volatility of our Class A Common Stock.
-49-
Outstanding Equity Awards at 2025 Year-End
The following table sets forth information regarding outstanding equity awards held by our NEOs as of December 31, 2025:
Stock Awards(1) | |||||||||||||||||
| Name | Grant Date | Number of Shares or Units that Have Not Vested (#) | Market Value of Shares or Units that Have Not Vested ($) | Equity Incentive Plan Awards: Number of Unearned Shares, Units or Other Rights that Have Not Vested (#) | Equity Incentive Plan Awards: Market or Payout Value of Unearned Shares, Units or Other Rights that Have Not Vested ($) | ||||||||||||
| David Risher | 3/27/2023(2)(3) | — | — | 10,412,500 | 201,690,125 | ||||||||||||
| Erin Brewer | 7/25/2023(2)(4) | 266,008 | 5,152,575 | — | — | ||||||||||||
7/25/2023(2)(5) | — | — | 454,545 | 8,804,537 | |||||||||||||
4/3/2024(2)(6) | 38,723 | 750,065 | — | — | |||||||||||||
4/3/2024(2)(7) | — | — | 75,849 | 1,469,195 | |||||||||||||
2/6/2025(2)(8) | 126,316 | 2,446,741 | — | — | |||||||||||||
2/6/2025(2)(13) | — | — | 218,480 | 4,231,958 | |||||||||||||
Lindsay Llewellyn | 5/3/2023(2)(9) | 17,985 | 348,369 | — | — | ||||||||||||
5/3/2023(2)(10) | — | — | 63,920 | 1,238,130 | |||||||||||||
4/3/2024(2)(6) | 47,242 | 915,078 | — | — | |||||||||||||
4/3/2024(2)(7) | — | — | 92,536 | 1,792,422 | |||||||||||||
7/19/2024(2)(12) | — | — | 86,097 | 1,667,699 | |||||||||||||
7/19/2024(2)(11) | 64,290 | 1,245,297 | — | — | |||||||||||||
7/19/2024(2)(11) | 38,574 | 747,178 | — | — | |||||||||||||
2/6/2025(2)(8) | 98,599 | 1,909,863 | — | — | |||||||||||||
2/6/2025(2)(13) | — | — | 170,542 | 3,303,399 | |||||||||||||
(1)The market price for our Class A common stock is based upon the market price of $19.37 per share, which is Lyft’s price at the close of market on December 31, 2025.
(2)Subject to vesting acceleration under certain circumstances as described under “Potential Payments upon Termination or Change in Control” on page 52 of this proxy statement.
(3)If the performance condition is achieved, the PSUs in the applicable tranche will vest 50% upon the certification of achievement by the compensation committee of the board of directors (but no earlier than April 17, 2024) and 50% on the one year anniversary of such certification, subject to the participant continuing to serve as the Chief Executive Officer through each such date.
(4)The time-based vesting condition is satisfied as to 1/12th of the total number of shares of our Class A common stock underlying the RSUs on November 20, 2023, and as to an additional 1/12th of the total number of shares of our Class A common stock underlying the RSUs in quarterly installments on each of February 20, May 20, August 20, and November 20 thereafter, subject to the NEO’s continued service through each vesting date.
(5)The PSUs will be eligible to vest in four tranches based on the Company’s stock price performance over certain performance periods during the four years beginning on July 25, 2023. Upon achievement of a stock price performance target and certification of achievement by the compensation committee of the board of directors, the PSUs in the applicable tranche will vest in full if certain service-based vesting conditions applicable to such tranche have been met, subject to the NEO’s continued service through each such date.
(6)The time-based vesting condition is satisfied as to 1/12th of the total number of shares of our Class A common stock underlying the RSUs on May 20, 2024, and as to an additional 1/12th of the total number of shares of our Class A common stock underlying the RSUs in quarterly installments on each of February 20, May 20, August 20, and November 20 thereafter, subject to the NEO’s continued service through each vesting date.
(7)The PSUs will be eligible to vest in four tranches based on the Company’s stock price performance over certain performance periods during the four years beginning on April 3, 2024. Upon achievement of a stock price performance target and certification of achievement by the compensation committee of the Company’s board of directors, the PSUs in the applicable tranche will vest in full if certain service-based vesting conditions applicable to such tranche have been met, subject to the NEO’s continued service through each such date.
(8)The time-based vesting condition is satisfied as to 1/12th of the total number of shares of our Class A common stock underlying the RSUs on May 20, 2025, and as to an additional 1/12th of the total number of shares of our Class A common stock underlying the RSUs in quarterly installments on each of February 20, May 20, August 20, and November 20 thereafter, subject to the NEO’s continued service through each vesting date.
(9)The time-based vesting condition is satisfied as to 1/12th of the total number of shares of our Class A common stock underlying the RSUs on May 20, 2023, and as to an additional 1/12th of the total number of shares of our Class A common stock underlying the RSUs in quarterly installments on each of February 20, May 20, August 20, and November 20 thereafter, subject to Ms. Llewellyn’s continued service through each vesting date.
(10)The PSUs will be eligible to vest in four tranches based on the Company’s stock price performance over certain performance periods during the four years beginning on May 3, 2023. Upon achievement of a stock price performance target and certification of achievement by the compensation committee, the PSUs in the applicable tranche will vest in full if certain service-based vesting conditions applicable to such tranche have been met, subject to the NEO’s continued service through each such date.
-50-
(11)The time-based vesting condition is satisfied as to 1/12th of the total number of shares of our Class A common stock underlying the RSUs on November 20, 2024, and as to an additional 1/12th of the total number of shares of our Class A common stock underlying the RSUs in quarterly installments on each of February 20, May 20, August 20, and November 20 thereafter, subject to Ms. Llewellyn’s continued service through each vesting date.
(12)The PSUs will be eligible to vest in four tranches based on the Company’s stock price performance over certain performance periods during the four years beginning on July 19, 2024. Upon achievement of a stock price performance target and certification of achievement by the compensation committee, the PSUs in the applicable tranche will vest in full if certain service-based vesting conditions applicable to such tranche have been met, subject to the NEO’s continued service through each such date.
(13)The PSUs will be eligible to vest in four tranches based on the Company’s stock price performance over certain performance periods during the four years beginning on February 6, 2025. Upon achievement of a stock price performance target and certification of achievement by the compensation committee, the PSUs in the applicable tranche will vest in full if certain service-based vesting conditions applicable to such tranche have been met, subject to the NEO’s continued service through each such date.
-51-
Option Exercises and Stock Vested in 2025
The following table sets forth information regarding options exercised and stock awards vested for the NEOs during the year ended December 31, 2025:
| Option Awards | Stock Awards | |||||||||||||
| Name | Number of Shares Acquired on Exercise (#) | Value Realized on Exercise ($)(1) | Number of Shares Acquired on Vesting (#) | Value Realized on Vesting ($)(2) | ||||||||||
| David Risher | — | — | 1,225,000 | 18,730,250 | ||||||||||
Erin Brewer | — | — | 680,320 | 11,055,310 | ||||||||||
Lindsay Llewellyn | — | — | 322,690 | 5,491,363 | ||||||||||
(1)The value realized upon exercise of stock options is calculated by subtracting the stock option exercise price from the fair market value on the exercise date, and multiplying the difference by the number of shares.
(2)The value realized upon vesting of RSUs and PSUs is calculated by multiplying the number of shares vested by the closing price of our Class A common stock on the vesting date (or, in the event the vesting date occurs on a holiday or weekend, the closing price of our Class A common stock on the immediately preceding trading day).
Potential Payments Upon Termination or Change in Control
Executive Change in Control and Severance Plan
We maintain an Executive Severance Plan pursuant to which our NEOs and certain other key employees are eligible to receive severance benefits, as specified in and subject to the employee signing a participation agreement under our Executive Severance Plan.
All of our NEOs signed a participation agreement under our Executive Severance Plan providing for the rights to the applicable payments and benefits described below.
In the event of an “involuntary termination” of the employment of an NEO, which generally includes a termination of employment by the NEO for “good reason” or by us for a reason other than “cause,” death or “disability” (as such terms are defined in our Executive Severance Plan), that occurs outside the change in control period (as described below), then the NEO will be entitled to the following payments and benefits:
-52-
| Item | CEO | All other NEOs | ||||||||||||
Cash Severance and Benefits (lump sum) | • Salary: 1.0x (12 months) • Bonus: 1.0x target for termination year and any earned but unpaid bonus for the prior year • Benefits: 12 months company-paid COBRA | • Salary: 1.0x (12 months) • Bonus: Prorated for termination year • Benefits: 12 months company-paid COBRA | ||||||||||||
Treatment of Unvested Equity | • Time-based equity: 12 months of acceleration of unvested equity, including performance-based awards for which the performance goals have been achieved • Performance-based equity: None, other than (1) as immediately above, and (2) if the performance goals are achieved within 2 months after termination, will (x) receive credit for achievement (including by applying the 12 months of acceleration applicable to time-based equity), or (y) in the case of the PSU award granted to the CEO in 2023, will vest in such portion of the award | • Time-based equity: 6 months acceleration of unvested equity, including performance-based awards for which the performance goals were achieved prior to termination • Performance-based equity: None, other than as immediately above | ||||||||||||
If such involuntary termination occurs within a period beginning three months prior to and ending 12 months following a “change in control” (as defined in our Executive Severance Plan) (such period, the “change in control period”), then the NEO will be entitled to the following payments and benefits:
-53-
| Item | CEO | All other NEOs | ||||||||||||
Cash Severance and Benefits (lump sum) | • Salary: 1.5x (18 months) • Bonus: 1.5x target for termination year and any earned but unpaid bonus for prior year • Benefits: 18 months company-paid COBRA | • Salary: 1.0x (12 months) • Bonus: Prorated for termination year • Benefits: 12 months company-paid COBRA | ||||||||||||
Treatment of Unvested Equity | • Time-based equity: 100% acceleration of unvested equity, including performance-based awards for which the performance goals have been achieved • Performance-based equity: a pro rata portion of performance-based awards (other than the PSU award granted to the CEO in 2023) for which performance goals have not yet been achieved will vest based on actual achievement, and for the PSU award granted to the CEO in 2023 only, in addition to any vesting for performance goals achieved within 2 months of termination (as described further above), if the termination occurs within the 3 months prior to the change in control and the change in control occurs during the performance period, he will vest in any portion of the award that becomes earned as a result of the change in control price satisfying a stock price target | • Time-based equity: 100% acceleration of unvested equity • Performance-based equity: 100% acceleration at target | ||||||||||||
Each of the salary, bonus and COBRA benefits payments described above will be made in lump sum. The receipt of the payments and benefits provided for under the Executive Severance Plan described above is conditioned on the NEO signing and not revoking a separation and release of claims agreement and such release becoming effective and irrevocable no later than the 60th day following the NEO’s involuntary termination of employment, as well as compliance with certain non-solicitation and non-disparagement provisions during the period that is 12 months following the NEO’s termination of employment and continued compliance with the invention assignment and confidentiality agreement applicable to the NEO.
If any of the payments or benefits provided for under the Executive Severance Plan or otherwise payable to the NEO would constitute “parachute payments” within the meaning of Section 280G of the Code and could be subject to the related excise tax, the NEO will receive either full payment of such payments and benefits or such lesser amount that would result in no portion of the payments and benefits being subject to the excise tax, whichever results in the greater amount of after-tax benefits to them. The Executive Severance Plan does not require us to provide any tax gross-up payments to the NEOs.
The 2023 PSU award granted to Mr. Risher contains the special terms as described in the section titled “Other Compensation Information - Post-Termination Compensation” on page 45 of this proxy statement. The PSU awards
-54-
granted in 2023, 2024 and 2025 to Mses. Brewer and Llewellyn contain special terms if a change in control occurs during the performance period. In the event of a change in control of the Company before the end of the performance period, the performance period will be shortened and one or more tranches of the PSU award may become eligible to vest if the price in the Change in Control satisfies the applicable stock price target for such tranche not yet achieved under the award. For the single tranche (if any) that has a stock price target that is immediately above the change in control price (to the extent not previously achieved), linear interpolation will be used to prorate the portion of that tranche that becomes eligible to vest.
As discussed further above, during 2025, Ms. Llewellyn received a $250,000 payment which represented the second and final installment of the $500,000 retention bonus she was awarded in connection with her promotion to Chief Legal Officer in 2024. Ms. Llewellyn’s offer letter provided that, had her employment had been terminated without cause (as defined in the Executive Severance Plan) prior to such payment, then subject to her satisfying the requirements for receiving severance under the Executive Severance Plan, Ms. Llewellyn would have received such unpaid portion of her retention bonus.
Under the Executive Severance Plan, “cause” generally means (a) any willful, material violation of any law or regulation applicable to our business; (b) conviction for, or plea of no contest to, a felony or a crime involving moral turpitude; (c) commission of an act of personal dishonesty that is intended to result in the substantial personal enrichment of the NEO; (d) a continued material failure to perform the NEO’s lawful and reasonable duties of employment, which violations are demonstrably willful and deliberate on the NEO’s part (but only following a 15 day notice and cure period); (e) willful failure to reasonably cooperate with any audit or investigation by a governmental authority or by us of our business or financial conditions or practices that continues after written notice from the board and at least 15 days to cure; (f) any other willful misconduct or gross negligence that is materially injurious to the financial condition or business reputation of the Company; (g) a material breach of any of the NEO’s fiduciary duties to the Company; (h) an NEO’s failure to reasonably cooperate in any audit or investigation of the business or financial practices of the Company; or (i) the NEO substantially abusing alcohol, drugs, or similar substances, or engaging in other conduct or activities which are reasonably likely to result in a demonstrably injurious effect on the Company’s reputation or business or the NEO’s ability to perform the NEO’s duties.
Under the Executive Severance Plan, “change in control” generally means (i) a change in the ownership of the Company that occurs on the date that any one person, or more than one person acting as a group (“Person”) acquires ownership of the stock of the Company that, together with the stock held by such Person, constitutes more than 50% of the total voting power of the stock of the Company (subject to certain exceptions described in the Executive Severance Plan); (ii) a change in the effective control of the Company which occurs on the date that a majority of members of the board is replaced during any 12-month period with individuals whose appointment or election to the board is not endorsed by a majority of the members of the board prior to the date of the appointment or election; or (iii) a change in the ownership of a substantial portion of the Company’s assets which occurs on the date that any Person acquires (or has acquired during the 12-month period ending on the date of the most recent acquisition by such person or persons) assets from the Company that have a total gross fair market value equal to or more than 50% of the total gross fair market value of all of the assets of the Company immediately prior to such acquisition or acquisitions.
Under the Executive Severance Plan, “disability” generally has the meaning in the Company’s long-term disability plan or policy then in effect with respect to the NEO, as such plan or policy may be in effect from time to time, and, if there is no such plan or policy, a total and permanent disability as defined in Code Section 22(e)(3).
Under the Executive Severance Plan, “good reason” generally means (a) (A) outside of a change in control period, the assignment to the NEO of any duties or responsibilities that are inconsistent with the NEO’s education and professional experience, and (B) during a change in control period, the assignment to the NEO of any authority, duties or responsibilities or the reduction of the NEO’s authority, duties or responsibilities, either of which results in a material diminution in the NEO’s authority, duties or responsibilities at Lyft as in effect immediately prior to the change in control period, unless the NEO is provided with a comparable position; (b) a material reduction in the NEO’s annual base salary (or, following a change in control, annual base salary or target annual bonus) other than a one-time reduction of 15% or less that is applicable to substantially all other similarly-situated executives; (c) during a change in control period, a non-
-55-
temporary relocation of the NEO’s principal work location office to a location that increases the NEO’s one way commute from the NEO’s principal residence by more than 50 miles as compared to the principal location at which the NEO performs duties as of immediately prior to the beginning of the change in control period; or (d) a material breach by Lyft of any material written agreement with the NEO.
An event or action will not constitute Good Reason unless (1) the NEO gives the Company written notice within 60 days after the NEO knows or should know of the initial existence of such event or action, (2) such event or action is not reversed, remedied or cured, as the case may be, by the Company as soon as possible but in no event later than 30 days of receiving such written notice from the NEO, and (3) the NEO terminates employment within 60 days following the end of the cure period.
Death/Disability Benefits Policy
Under our Death/Disability Benefit Policy, our employees, including our NEOs, are eligible to receive certain health care premium payments and equity vesting acceleration benefits following an employee’s termination of employment due to that employee’s death or “disability” (as defined therein) (in either case, a “Qualifying Termination”). Upon an employee’s Qualifying Termination, the employee will be entitled to the following benefits, subject to the employee’s timely execution and non-revocation of a release of claims in a form provided by us:
•Up to 24 months of COBRA premium payment for continued group health plan coverage for the employee and any spouse and/or eligible dependents of the employee (“Family Members”), if the employee, and/or that employee’s Family Members has or have coverage under a group health plan sponsored by us on the date of the employee’s Qualifying Termination and also validly elect and remain eligible to continue coverage under COBRA; and
•24 months accelerated vesting of each of such employee’s then-outstanding equity awards that vest based solely on the satisfaction of time-based vesting conditions (including equity awards that became subject to only time-based vesting conditions following the achievement of one or more performance goals). However, the aggregate value of the equity awards that may vest, and if applicable, become fully exercisable under this Policy may not exceed $10 million.
With respect to the PSU awards granted in 2025, 2024 and 2023 to NEOs, any portion of the award for which the applicable stock price target already has been achieved as certified by the compensation committee, would be considered time-based equity for purposes of the Death/Disability Benefit Policy.
2019 Plan
Under the 2019 Plan, in the event of our change in control (as defined therein and described below), if the successor corporation does not assume or substitute for an award (or a portion of an award), then unless specifically provided otherwise under an award agreement or other written agreement with the participant, the award will accelerate vesting in full, and any awards with performance-based vesting will be deemed to have achieved the performance goals or other vesting criteria at 100% of target levels. In addition, any award of options or stock appreciation rights not assumed or substituted in our change in control will be exercisable for a period of time determined by the administrator of the 2019 Plan after providing notice to the participant holding such award, and the award will terminate upon expiration of such period.
A “change in control” under the 2019 Plan generally means (i) a change in the ownership of the Company that occurs on the date that any Person acquires ownership of the stock of the Company that, together with the stock held by such Person, constitutes more than 50% of the total voting power of the stock of the Company (subject to certain exceptions described in the 2019 Plan); (ii) a change in the effective control of the Company which occurs on the date that a majority of members of the board is replaced during any 12-month period with individuals whose appointment or election to the board is not endorsed by a majority of the members of the board prior to the date of the appointment or election; or (iii) a change in the ownership of a substantial portion of the Company’s assets which occurs on the date that any Person acquires (or has acquired during the 12-month period ending on the date of the most recent acquisition by such
-56-
person or persons) assets from the Company that have a total gross fair market value equal to or more than 50% of the total gross fair market value of all of the assets of the Company immediately prior to such acquisition or acquisitions.
The following table sets forth information regarding potential payments that would have been provided to each of our NEOs who were employed with us as of December 31, 2025 under each of the circumstances specified below if he or she had terminated employment with Lyft effective December 31, 2025.
| Qualifying Termination Not in Connection with a Change of Control ($) | |||||||||||||||||
| Name | Base Salary Component | Cash Bonus Component | COBRA/ Benefits Component | Value of Accelerated Equity Awards(1) | Total | ||||||||||||
| David Risher | 725,000 | 1,725,000 | 26,347 | 11,864,125 | 14,340,472 | ||||||||||||
| Erin Brewer | 650,000 | 325,000 | 22,040 | 5,336,803 | 6,333,843 | ||||||||||||
Lindsay Llewellyn | 650,000 | 325,000 | 22,040 | 3,153,029 | 4,150,069 | ||||||||||||
(1)The values of accelerated equity based on the stock price of $19.37, the closing price of a share of our Class A common stock on December 31, 2025.
| Termination Due to Death or Disability ($) | ||||||||||||||
| Name | Base Salary Component | COBRA/Benefits Component | Value of Accelerated Equity Awards(1) | Total | ||||||||||
| David Risher | — | 52,694 | 10,000,000 | 10,052,694 | ||||||||||
| Erin Brewer | — | 44,081 | 10,000,000 | 10,044,081 | ||||||||||
Lindsay Llewellyn | — | 44,081 | 7,843,436 | 7,887,517 | ||||||||||
(1)The values of accelerated equity based on the stock price of $19.37, the closing price of a share of our Class A common stock on December 31, 2025.
| Qualifying Termination in Connection with a Change of Control ($) | |||||||||||||||||
| Name | Base Salary Component | Cash Bonus Component | COBRA/ Benefits Component | Value of Accelerated Equity Awards(1) | Total | ||||||||||||
| David Risher | 1,087,500 | 2,587,500 | 39,521 | 11,864,125 | 15,578,646 | ||||||||||||
| Erin Brewer | 650,000 | 325,000 | 22,040 | 22,855,070 | 23,852,110 | ||||||||||||
Lindsay Llewellyn | 650,000 | 325,000 | 22,040 | 13,167,435 | 14,164,475 | ||||||||||||
(1)The values of accelerated equity based on the stock price of $19.37, the closing price of a share of our Class A common stock on December 31, 2025.
Pay Versus Performance
In accordance with SEC rules (Item 402(v) of Regulation S-K), we are reporting our pay versus performance information.
-57-
Pay Versus Performance Table
| Value of Initial Fixed $100 Investment based on Total Shareholder Return | ||||||||||||||||||||||||||||||||
Fiscal Year(1) | Summary Compensation Table Total for PEO - David Risher ($)(2) | Summary Compensation Table Total for PEO - Logan Green ($)(2) | Compensation Actually Paid to PEO - David Risher ($)(3) | Compensation Actually Paid to PEO - Logan Green ($)(3) | Average Summary Compensation Table Total for Non-PEO NEOs ($)(2) | Average Compensation Actually Paid to Non-PEO NEOs ($)(3) | Lyft Inc.(4) | S&P 500 IT Index(4) | Lyft GAAP Net Income (Loss) ($000s)(5) | Company Selected Measure: Stock Price(6) | ||||||||||||||||||||||
| 2025 | — | — | $ | $ | $ | |||||||||||||||||||||||||||
| 2024 | — | ( | — | $ | $ | $ | ||||||||||||||||||||||||||
| 2023 | $ | $ | ( | $ | ||||||||||||||||||||||||||||
| 2022 | — | — | ( | $ | $ | ( | $ | |||||||||||||||||||||||||
| 2021 | — | — | $ | $ | ( | $ | ||||||||||||||||||||||||||
(1)Mr. Green was a principal executive officer, or PEO, for the period of fiscal 2021-2023. Mr. Green transitioned from such role effective April 17, 2023. Mr. Risher became PEO effective as of the same date, in fiscal 2023 and was our PEO for fiscal 2024 and 2025; non-PEO named executive officers, or Non-PEO NEOs included in the above table reflect the following:
| Fiscal Year | Non-PEO NEOs | |||||||||||||||||||
| 2025 | Erin Brewer | Lindsay Llewellyn | – | – | – | – | ||||||||||||||
| 2024 | Erin Brewer | Lindsay Llewellyn | Kristin Sverchek | – | – | – | ||||||||||||||
| 2023 | Kristin Sverchek | Erin Brewer | John Zimmer | Elaine Paul | Lisa Blackwood-Kapral | Ashwin Raj | ||||||||||||||
| 2022 | John Zimmer | Elaine Paul | Ashwin Raj | Kristin Sverchek | – | – | ||||||||||||||
| 2021 | John Zimmer | Kristin Sverchek | Ashwin Raj | Brian Roberts | – | – | ||||||||||||||
(2)These figures represent the total compensation paid to our PEO and the average of the total compensation paid to our Non-PEO NEOs in each listed fiscal year, respectively, as shown in our Summary Compensation Table for such listed fiscal year.
(3)Compensation Actually Paid (“CAP”) does not mean that these amounts were actually paid in the listed fiscal year, but is a dollar amount derived from the starting point of total compensation reported in the Summary Compensation Table under the methodology prescribed under the SEC's rules (Item 402(v) of Regulation S-K) as shown in the adjustment tables below. The assumptions used for determining fair values shown in this table are materially consistent with those used to determine the fair values disclosed as of the grant date of such awards.
Fiscal 2023 - 2025 CAP to PEO (Mr. Risher), fiscal 2021 - 2023 CAP to PEO (Mr. Green) and the average CAP to non-PEO NEOs reflect the following adjustments from total compensation reported in the Summary Compensation Table:
| Year | Total Reported in Summary Compensation Table (SCT) for PEO ($) | Less, Value of Stock Awards reported in SCT for PEO ($) | Plus, Year-End Fair Value of Awards Granted in Fiscal Year that are Unvested and Outstanding for PEO ($) | Plus, Change in Fair Value of Prior Year Awards that are Outstanding and Unvested at Fiscal Year-End for PEO ($) | Plus, Fair Value as of Vesting Date of Awards Granted in Fiscal Year and that Vested in Fiscal Year for PEO ($) | Plus, Change in Fair Value (from Prior Year-End) of Prior Year Awards that Vested in Fiscal Year for PEO ($) | Total Adjustments for PEO ($) | Compensation on Actually Paid for Fiscal Year to PEO ($) | |||||||||||||||||||||
| 2025 | David Risher | ( | |||||||||||||||||||||||||||
| 2024 | David Risher | ( | ( | ( | |||||||||||||||||||||||||
| 2023 | David Risher | ( | |||||||||||||||||||||||||||
| Logan Green | ( | ||||||||||||||||||||||||||||
| 2022 | Logan Green | ( | ( | ( | ( | ||||||||||||||||||||||||
| 2021 | Logan Green | ( | |||||||||||||||||||||||||||
-58-
| Year | Total Reported in Summary Compensation Table (SCT) for Non-PEO NEO ($) | Less, Value of Stock Awards reported in SCT for Non-PEO NEOs ($) | Plus, Year-End Fair Value of Awards Granted in Fiscal Year that are Unvested and Outstanding for Non-PEO NEOs ($) | Plus, Change in Fair Value of Prior Year Awards that are Outstanding and Unvested at Fiscal Year-End for Non-PEO NEOs ($) | Plus, Fair Value as of Vesting Date of Awards Granted in Fiscal Year and that Vested in Fiscal Year for Non-PEO NEOs ($) | Plus, Change in Fair Value (from Prior Year-End) of Prior Year Awards that Vested in Fiscal Year for Non-PEO NEOs ($) | Total Adjustments for Non-PEO NEOs ($) | Compensation on Actually Paid for Fiscal Year to Non-PEO NEOs ($) | ||||||||||||||||||
| 2025 | ||||||||||||||||||||||||||
| 2024 | ( | ( | ( | |||||||||||||||||||||||
| 2023 | ( | |||||||||||||||||||||||||
| 2022 | ( | ( | ( | |||||||||||||||||||||||
| 2021 | ( | ( | ||||||||||||||||||||||||
(4)Total shareholder return (“TSR”) is calculated by assuming that a $100 investment was made on the last trading day prior to the first day of the earliest listed fiscal year reported and reinvesting all dividends until the last day of each reported fiscal year. The peer group used is the S&P 500 Information Technology (IT) index, as used in our performance graph in our Annual Report on Form 10-K for the year ended December 31, 2025.
(5)The dollar amounts reported are the Company's GAAP Net Income (Loss) reflected in the Company’s audited financial statements.
(6)Stock price is the most important financial performance measure used by the Company to link CAP to our NEOs in fiscal 2025 to performance of the Company. The prices in the table are the closing price of the Company’s Class A common stock as reported on the last trading day of the fiscal year. See “Compensation Discussion and Analysis” for discussion of the stock price goals applicable to the PSUs granted to our NEOs in 2025.
-59-
Tabular List of Performance Measures
The following table lists the most important financial performance measures used by the Company to link CAP of our NEOs to the performance of the Company for fiscal 2025.
| Most Important Financial Performance Measures for Fiscal 2025 | ||
Pay Versus Performance Description of Relationships
The following graph illustrates the relationship between CAP to each of our PEOs and average CAP to our non-PEO NEOs versus TSR for both the Company and the S&P 500 IT Index on a cumulative basis assuming investment of $100 on the last trading day prior to the first day of the fiscal year reported below. The PEO and other NEOs’ CAP amounts generally are aligned with the Company’s TSR. This is due primarily to the Company’s use of equity incentives, which are tied directly to stock price. In 2023, 2024 and 2025, CAP for Mr. Risher is anomalous as Mr. Risher received a PSU award upon his appointment to CEO, which was intended to be Mr. Risher’s sole equity for the initial four years of his employment. Therefore, Mr. Risher did not receive an annual equity award in 2025.

The following graph illustrates the relationship between CAP to each of our PEOs and average CAP to our non-PEO NEOs versus the Company’s Net Income (Loss).
-60-

The following graph illustrates the relationship between CAP to each of our PEOs and average CAP to our non-PEO NEOs versus the year-end value of the Company’s stock, which is shown as the closing price as of the last trading day for the applicable year.

-61-
CEO Pay Ratio Disclosure
In accordance with SEC rules, we are reporting our CEO pay ratio. As set forth in the “Summary Compensation Table” on page 48 of this proxy statement, Mr. Risher’s annual total compensation for fiscal 2025 was $2,824,088 and the total compensation of the median employee was $157,418, resulting in a CEO pay ratio of approximately 18:1.
The CEO pay ratio increased for 2025 compared to 2024, but as expected, continues to be below the 2023 CEO Pay Ratio. Given that Mr. Risher did not receive an equity award in 2025, Mr. Risher’s fiscal 2025 annual total compensation consisted of only his base pay, cash bonus (which included the additional incremental bonus opportunity for meeting certain performance target levels), and all other compensation. Therefore, the CEO pay ratio increased for 2025 but as expected continues to remain below the CEO pay ratio for 2023 (which was 519:1). In large part due to the additional incremental bonus opportunity for the CEO for 2025, our 2025 CEO pay ratio was higher than our 2024 CEO pay ratio, which was 7:1. In accordance with the SEC rules for calculating the CEO pay ratio, we used Mr. Risher's annualized total compensation for purposes of this calculation.
The SEC rules for identifying the median employee and calculating the CEO pay ratio do not specify a single methodology for identification of the median employee or calculation of the pay ratio, and other companies may apply reasonable assumptions and estimates that are different from those used by us. Therefore, the pay ratio reported by us may not be comparable to the pay ratio reported by other companies.
Our CEO pay ratio is based on the following methodology:
•Analyzed all of Lyft’s employees, and excluded employees who joined the Company in connection with the 2025 acquisitions of Freenow and TBR (see further detail below), contractors, other non-employees, and the CEO, as of December 31, 2025.
•To determine the median employee, we used actual base salary, actual bonus and other non-recurring cash-based payments and the grant date fair value of equity awards granted during fiscal 2025.
•After identifying the median employee, we calculated annual total compensation of the median employee using the same methodology that was used for our NEOs, as set forth in the “Summary Compensation Table” on page 48 of this proxy statement.
For employees based outside of the United States, we converted pay into USD using the exchange rate on December 31, 2025. As permitted by SEC rules, we excluded employees who joined the Company in connection with our acquisitions of Freenow on July 31, 2025 and TBR on October 14, 2025. As of December 31, 2025, the number of excluded employees was 808.
-62-
EQUITY COMPENSATION PLAN INFORMATION
The following table summarizes our equity compensation plan information as of December 31, 2025. Information is included for equity compensation plans approved by our stockholders. We do not have any equity compensation plans not approved by our stockholders.
| Plan Category | Number of Securities to be Issued Upon Exercise of Outstanding Options, Warrants and Rights | Weighted-Average Exercise Price of Outstanding Options, Warrants and Rights | Number of Securities Remaining Available for Future Issuance Under Equity Compensation Plans (Excluding Securities Reflected in the First Column) | |||||||||||||||||
Equity compensation plans approved by security holders(1) | 26,341,136 | (2) | — | (3) | 72,758,958 | (4) | ||||||||||||||
(1)Includes the 2019 Plan and the 2019 Employee Stock Purchase Plan (“ESPP”).
(2)Includes 26,341,136 shares subject to RSUs and PSUs that were outstanding as of December 31, 2025 and issued under the 2019 Plan.
(3)No options were outstanding as of December 31, 2025 and therefore, there is no weighted-average exercise price of outstanding options. RSUs and PSUs, which do not have an exercise price, are excluded in the calculation of weighted-average exercise price.
(4)As of December 31, 2025, an aggregate of 72,758,958 shares of common stock were available for issuance under the 2019 Plan and ESPP. The 2019 Plan provides that on the first day of each year beginning on January 1, 2020, the number of shares of Class A common stock available for issuance thereunder is automatically increased by a number equal to the least of (i) 35,000,000 shares, (ii) 5% of the outstanding shares of all classes of our common stock as of the last day of our immediately preceding fiscal year or (iii) such other amount as our board of directors may determine. The ESPP provides that on the first day of each year beginning January 1, 2020, the number of shares of Class A common stock available for issuance thereunder is automatically increased by a number equal to the least of (i) 7,000,000 shares, (ii) 1% of the outstanding shares of all classes of our common stock as of the last day of our immediately preceding fiscal year or (iii) such other amount as our board of directors may determine. On January 1, 2026, the number of shares of Class A common stock available for issuance under the 2019 Plan increased by 20,042,798 shares pursuant to this provision. With respect to the ESPP, the board determined not to increase the number of shares of Class A common stock available for issuance thereunder on January 1, 2026 pursuant to this provision. The increase to the 2019 Plan is not reflected in the table above.
-63-
SECURITY OWNERSHIP OF CERTAIN BENEFICIAL OWNERS AND MANAGEMENT
The following table sets forth certain information with respect to the beneficial ownership of our common stock as of March 15, 2026 for:
•each of our directors;
•each of our named executive officers;
•all of our current directors and executive officers as a group; and
•each person or group known by us to be the beneficial owner of more than 5% of our Class A common stock.
We have determined beneficial ownership in accordance with the rules of the SEC, and thus it represents sole or shared voting or investment power with respect to our securities. Unless otherwise indicated below, to our knowledge, the persons and entities named in the table have sole voting and sole investment power with respect to all shares that they beneficially owned, subject to community property laws where applicable.
We have based our calculation of the percentage of beneficial ownership on 388,925,193 shares of our Class A common stock outstanding as of March 15, 2026. We have deemed shares of our common stock subject to stock options held as of March 15, 2026 that are currently exercisable or exercisable within 60 days of March 15, 2026 or issuable pursuant to RSUs held as of March 15, 2026 which are subject to vesting and settlement conditions expected to occur within 60 days of March 15, 2026 to be outstanding and to be beneficially owned by the person holding the stock option or RSU for the purpose of computing the percentage ownership of that person. We did not deem these shares outstanding, however, for the purpose of computing the percentage ownership of any other person. There were no shares of Class B common stock outstanding as of March 15, 2026.
Unless otherwise indicated, the address of each beneficial owner listed in the table below is c/o Lyft, Inc., 185 Berry St., Suite 400, San Francisco, California 94107. The information provided in the table is based on our records, information filed with the SEC and information provided to us, except where otherwise noted.
Amount and Nature of Beneficial Ownership | Percent of Total Voting Power# | ||||||||||
| Name | Class A Shares | % | |||||||||
David Risher (1) | 1,069,292 | * | * | ||||||||
Erin Brewer (2) | 664,996 | * | * | ||||||||
Lindsay Llewellyn (3) | 144,744 | * | * | ||||||||
Sean Aggarwal (4) | 1,369,481 | * | * | ||||||||
Jill Beggs (5) | 27,999 | * | * | ||||||||
Deborah Hersman (6) | — | * | * | ||||||||
David Lawee (7) | 101,098 | * | * | ||||||||
Dave Stephenson (8) | 82,298 | * | * | ||||||||
Betsey Stevenson (9) | 46,264 | * | * | ||||||||
Janey Whiteside (10) | 55,970 | * | * | ||||||||
All current executive officers and directors as a group (10 persons) (11) | 3,562,142 | * | * | ||||||||
Greater than 5% stockholders | |||||||||||
Entities affiliated with Ameriprise Financial, Inc. (12) | 32,214,615 | 8.3% | 8.3% | ||||||||
Entities affiliated with The Vanguard Group (13) | 32,116,652 | 8.3% | 8.3% | ||||||||
Entities affiliated with Millennium Management LLC (14) | 24,276,458 | 6.2% | 6.2% | ||||||||
Entities affiliated with AQR Capital Management Holdings, LLC (15) | 24,009,925 | 6.2% | 6.2% | ||||||||
Entities affiliated with Fidelity (16) | 21,026,173 | 5.4% | 5.4% | ||||||||
________________________________________________________________________
-64-
# Percentage total voting power represents voting power with respect to all shares of our Class A common stock. Each holder of Class A common stock shall be entitled to one vote per share of Class A common stock on all matters submitted to our stockholders for a vote.
* Represents less than one percent (1%).
(1)Consists of 1,069,292 shares of Class A common stock held by Mr. Risher.
(2)Consists of 664,996 shares of Class A common stock held by the Erin M Brewer 2022 Trust, dated August 9, 2022, for which Ms. Brewer serves as trustee.
(3)Consists of (i) 8,514 shares of Class A common stock held by Ms. Llewellyn; (ii) 104,270 shares of Class A common stock held by a living trust for which Ms. Llewellyn serves as trustee; and (iii) 31,960 shares of Class A common stock issuable to Ms. Llewellyn upon the vesting of performance stock units within 60 days of March 15, 2026.
(4)Consists of (i) 12,556 shares of Class A common stock held by Mr. Aggarwal; (ii) 874,369 shares of Class A common stock held by Aggarwal Lee Family Trust, for which Mr. Aggarwal and Mr. Aggarwal’s spouse serve as co-trustees; (iii) 282,556 shares of Class A common stock held by the Aggarwal Lee Children’s Trust dated March 28, 2016, for which Mr. Aggarwal and Mr. Aggarwal’s spouse serve as co-trustees; and (iv) 200,000 shares of Class A common stock held by Aggarwal Lee Dynasty Trust dated April 18, 2016, for which Mr. Aggarwal and Mr. Aggarwal’s spouse serve as co-trustees.
(5)Consists of 27,999 shares of Class A common stock held by Ms. Beggs.
(6)Consists of no shares of Class A common stock issuable to Ms. Hersman upon the vesting of restricted stock units, or settlement of vested restricted stock units for which a deferral election has been made under the Outside Director Compensation Policy, within 60 days of March 15, 2026.
(7)Consists of 101,098 shares of Class A common stock issuable to Mr. Lawee upon the vesting of restricted stock units, or settlement of vested restricted stock units for which a deferral election has been made under the Outside Director Compensation Policy, within 60 days of March 15, 2026.
(8)Consists of (i) 48,289 shares of Class A common stock held by Mr. Stephenson; and (ii) 34,009 shares of Class A common stock issuable to Mr. Stephenson upon the vesting of restricted stock units, or settlement of vested restricted stock units for which a deferral election has been made under the Outside Director Compensation Policy, within 60 days of March 15, 2026.
(9)Consists of (i) 33,708 shares of Class A common stock held by Ms. Stevenson; and (ii) 12,556 shares of Class A common stock issuable to Ms. Stevenson upon the vesting of restricted stock units, or settlement of vested restricted stock units for which a deferral election has been made under the Outside Director Compensation Policy, within 60 days of March 15, 2026.
(10)Consists of (i) 37,878 shares of Class A common stock issuable to Ms. Whiteside; and (ii) 18,092 shares of Class A common stock issuable to Ms. Whiteside upon the vesting of restricted stock units or settlement of vested restricted stock units for which a deferral election has been made under the Outside Director Compensation Policy within 60 days of March 15, 2026.
(11)Consists of (i) 3,364,427 shares of Class A common stock beneficially owned by our current executive officers and directors; and (ii) 197,715 shares of Class A common stock issuable upon the vesting of restricted stock units or performance stock units or settlement of vested restricted stock units for which a deferral election has been made under the Outside Director Compensation Policy within 60 days of March 15, 2026.
(12)Based solely on a Schedule 13G/A filed with the SEC on November 14, 2025, by Ameriprise Financial, Inc. (“AFI”) and its subsidiary company Columbia Management Investment Advisers, LLC (“CMIA”). AFI reported shared voting power with respect to 30,289,759 shares of Class A common stock, and shared dispositive power with respect to 32,214,615 shares of Class A common stock. CMIA reported shared voting power with respect to 30,230,202 shares of Class A common stock, and shared dispositive power with respect to 31,279,466 shares of Class A common stock. AFI, as the parent company of CMIA, may be deemed to beneficially own the shares reported by CMIA. Accordingly, the shares reported by AFI include those shares separately reported by CMIA. The address for AFI is 145 Ameriprise Financial Center, Minneapolis, MN 55474, and the address for CMIA is 290 Congress Street, Boston, MA 02210.
(13)Based solely on a Schedule 13G/A filed with the SEC on February 13, 2024, reporting shared voting power with respect to 148,299 shares of Class A common stock, sole dispositive power with respect to 31,595,899 shares of Class A common stock and shared dispositive power with respect to 520,753 shares of Class A common stock. The address for The Vanguard Group is 100 Vanguard Blvd., Malvern, PA 19355. On March 27, 2026, The Vanguard Group filed a 13G/A reporting that The Vanguard Group, Inc. went through an internal realignment and, certain subsidiaries or business divisions of subsidiaries of The Vanguard Group, Inc., that formerly had, or were deemed to have, beneficial ownership with The Vanguard Group, Inc., will report beneficial ownership separately (on a disaggregated basis) from The Vanguard Group, Inc. The Vanguard Group, Inc. no longer has, or is deemed to have, beneficial ownership over securities beneficially owned by such subsidiaries and/or business divisions.
(14)Based solely on a Schedule 13G filed with the SEC on February 19, 2026, jointly by Integrated Core Strategies (US) LLC, Millennium Management LLC, Millennium Group Management LLC and Israel A. Englander (together, the “Millennium Entities”). Integrated Core Strategies (US) LLC reported shared voting power with respect to 20,191,323 shares of Class A common stock, and shared dispositive power with respect to 20,191,323 shares of Class A common stock. Each of the remaining Millennium Entities reported shared voting power with respect to 23,887,573 shares of Class A common stock, and shared dispositive power with respect to 24,276,458 shares of Class A common stock. The address for the Millennium Entities is 399 Park Avenue, New York, NY 10022.
(15)Based solely on a Schedule 13G filed with the SEC on August 14, 2025, jointly by AQR Capital Management, LLC and AQR Capital Management Holdings, LLC (together, the “AQR Entities”). Each AQR Entity reported shared voting power with respect to 24,009,925 shares of Class A common stock, and shared dispositive power with respect to 24,009,925 shares of Class A common stock. The address for the AQR Entities is One Greenwich Plaza Suite 130, Greenwich, CT 06830.
(16)Based solely on a Schedule 13G filed with the SEC on February 5, 2026, reporting beneficial ownership with respect to 21,026,173 shares of Class A common stock. The Schedule 13G reported sole voting power with respect to 19,989,891 shares of Class A common stock and sole dispositive power with respect to 21,026,173 shares of Class A common stock by FMR LLC and sole dispositive power with respect to 21,026,173 shares by Abigail P. Johnson. Abigail P. Johnson is a Director, the Chairman and the Chief Executive Officer of FMR LLC. Members of the Johnson family, including Abigail P. Johnson, are the predominant owners, directly or through trusts, of Series B voting common shares of FMR LLC, representing 49% of the voting power of FMR LLC. The Johnson family group and all other Series B shareholders have entered into a shareholders’ voting agreement under which all Series B voting common shares will be voted in accordance with the majority vote of Series B voting common shares. Accordingly, through their ownership of voting common shares and the execution of the shareholders’ voting agreement, members of the Johnson family may be deemed, under the Investment Company Act of 1940, to form a controlling group with respect to FMR LLC. The address for FMR LLC is 245 Summer Street, Boston, MA 02210.
-65-
CERTAIN RELATIONSHIPS, RELATED PARTY AND OTHER TRANSACTIONS
We describe below transactions and series of similar transactions, since the beginning of our last fiscal year, to which we were a participant or will be a participant, in which:
•the amounts involved exceeded or will exceed $120,000; and
•any of our directors, nominees for director, executive officers or beneficial holders of more than 5% of any class of our outstanding capital stock, or any immediate family member of, or person sharing the household with, any of these individuals or entities, had or will have a direct or indirect material interest.
Convertible Note Offering
In September 2025, we conducted a private offering under Rule 144A under the Securities Act, of $500.0 million aggregate principal amount of 0% convertible senior notes due 2030 (the “2030 Convertible Notes”), which included the full exercise by the initial purchasers of their overallotment option to purchase an additional $50 million aggregate principal amount of notes. Entities affiliated with Blackrock, Inc. (“BlackRock”), which reported that they beneficially owned more than 5% of our common stock until March 31, 2025, purchased $25.0 million in aggregate principal amount of our 2030 Convertible Notes. Additionally, entities affiliated with Fidelity and AQR Capital Management Holdings, which reports that they beneficially own over 5% of our common stock, purchased $20.0 million and $2.0 million in aggregate principal amount of our 2030 Convertible Notes, respectively. The offering of the 2030 Convertible Notes was approved by the audit committee.
Transactions with Entities Affiliated with BlackRock
Entities affiliated with BlackRock reported that they beneficially owned more than 5% of our outstanding Class A common stock from December 31, 2024 until March 31, 2025. BlackRock manages our investment portfolio based on a risk portfolio defined by us and takes action on our investments at our direction and during 2025, we paid BlackRock $0.8 million in fees based on the amounts invested.
Policies and Procedures for Related Person Transactions
Our audit committee has the primary responsibility for reviewing and approving or disapproving “related party transactions,” which are transactions between us and related persons in which the aggregate amount involved exceeds or may be expected to exceed $120,000 and in which a related person has or will have a direct or indirect material interest. Our policy regarding transactions between us and related persons provides that a related person is defined as a director, executive officer, nominee for director, or greater than 5% beneficial owner of our common stock, in each case since the beginning of the most recently completed year, and any of their immediate family members. Our audit committee charter provides that our audit committee shall review and approve or disapprove any related party transactions.
In determining whether to approve or ratify any such transaction, our audit committee will take into account, among other factors it deems appropriate, (i) whether the transaction would affect the independence of any director, (ii) whether the transaction is on terms that reflect an arms-length transaction and (iii) the extent of the related person’s interest in the transaction. The policy deems certain transactions not to require audit committee approval, including (i) certain compensation arrangements of executive officers, (ii) certain director compensation arrangements, (iii) transactions with another company at which a related person’s only relationship is as an employee (other than an executive officer), director, or beneficial owner of less than 10% equity interest of that company, (iv) charitable contributions, grants, endowments or pledges by us to a charitable organization, foundation or university where the related person’s only relationship is as an employee (other than an executive officer) or director, if the aggregate amount involved does not exceed the lesser of $1,000,000 or 2% of the charitable organization’s total annual receipts, (v) any transaction available to all U.S. employees generally, and (vi) transactions where a related person’s interest arises solely from the ownership of our common stock and all holders of our common stock received the same benefit on a pro rata basis.
-66-
OTHER MATTERS
Note About Forward-Looking Statements
Certain statements contained in this proxy statement, including estimates, projections, objectives and expected results, are “forward-looking statements” within the meaning of the Private Securities Litigation Reform Act of 1995, Section 27A of the Securities Act of 1933 and Section 21E of the Securities Exchange Act of 1934 and are generally identified by the words “believe,” “expect,” “anticipate,” “intend,” “opportunity,” “plan,” “project,” “will,” “should,” “could,” “would,” “likely” and similar expressions and include statements about our strategies, expectations, priorities, plans or intentions. Such statements, which are not of historical fact, involve estimates, assumptions, judgments and uncertainties. Forward-looking statements are based on current assumptions that are subject to a number of factors that may cause actual results or outcomes to differ materially from the forward-looking statements, including the risks and uncertainties discussed in Item 1A – Risk Factors of the Form 10-K for the fiscal year ended December 31, 2025 included in the Annual Report provided with our proxy materials as well as other such factors detailed in our other filings with the Securities and Exchange Commission. We undertake no obligation to update or revise publicly any forward-looking statements to reflect future events, except as required by applicable law. Information contained in websites, blogs or electronic messages referenced in the letter to stockholders represent the opinions of the websites, blogs or conversation participants and are not incorporated by reference into this proxy statement except for the specific video and electronic message referenced. The electronic message conversation referenced is excerpted for brevity. This proxy statement contains non-GAAP financial measures, including Adjusted EBITDA and free cash flow. A reconciliation of these measures to the most directly comparable GAAP measures is included at the end of this proxy statement.
Fiscal Year 2025 Annual Report and SEC Filings
Our financial statements for our fiscal year ended December 31, 2025 are included in our Annual Report on Form 10-K, which we will make available to stockholders at the same time as this proxy statement. This proxy statement and our annual report are posted on our website at investor.lyft.com and are available from the SEC at its website at www.sec.gov. You may also obtain a copy of our annual report without charge by sending a written request to Lyft, Inc., Attention: Investor Relations, 185 Berry St., Suite 400, San Francisco, California 94107.
* * *
The board of directors does not know of any other matters to be presented at the Annual Meeting. If any additional matters are properly presented at the Annual Meeting, the proxy holders will have discretion to vote the shares of our common stock they represent in accordance with their own judgment on such matters.
It is important that your shares of our common stock be represented at the Annual Meeting, regardless of the number of shares that you hold. You are, therefore, urged to vote by telephone or by using the Internet as instructed on the enclosed proxy card or execute and return, at your earliest convenience, the enclosed proxy card in the envelope that has also been provided.
| THE BOARD OF DIRECTORS | ||||||||
| San Francisco, California | ||||||||
| , 2026 | ||||||||
-67-
Appendix A - Supplemental Information About Non-GAAP Financial Measures and Key Metrics
Definitions of Key Metrics
Active Riders
The number of Active Riders is a key indicator of the scale of Lyft’s user community. Lyft defines Active Riders as all unique riders who have taken at least one ride during the quarter. If a ride is requested by another organization or person for the benefit of a rider, that rider is only included in the calculation of Active Riders if the ride is accessible in the rider’s Lyft apps.
In the first quarter of 2025, Lyft updated the definition of Active Riders to simplify the definition and better align the metric with future scaling of the business. Additionally, unique riders were previously identified by phone number and are now identified through a unique internal identifier. The change was adopted prospectively and periods prior to the first quarter of 2025 were not changed as the impact was not material.
Rides
Rides represent the level of usage of our multimodal platform. Lyft defines Rides as the total number of rides completed using our multimodal platform that contribute to our revenue. These include any Rides taken through our Lyft apps. If multiple riders take a private rideshare ride, including situations where one party picks up another party on the way to a destination, or splits the bill, we count this as a single rideshare ride. Each unique segment of a Shared Ride is considered a single Ride. For example, if two riders successfully match in Shared Ride mode and both complete their Rides, we count this as two Rides. We have largely shifted away from Shared Rides, and now only offer Shared Rides in limited markets. Lyft includes all Rides taken by riders via our Concierge offering, even though such riders may be excluded from the definition of Active Riders unless the ride is accessible in that rider’s Lyft apps.
Gross Bookings
Gross Bookings is a key indicator of the scale and impact of our overall platform. Lyft defines Gross Bookings as the total dollar value of transactions including any applicable taxes, tolls and fees, for rides and other offerings provided by Lyft, excluding tips to drivers. In the fourth quarter of 2025, Lyft simplified the definition of Gross Bookings to better align the metric with future scaling of the business. There was no impact to prior periods.
Adjusted EBITDA margin (calculated as a percentage of Gross Bookings)
Adjusted EBITDA margin (calculated as a percentage of Gross Bookings) is calculated by dividing Adjusted EBITDA for a period by Gross Bookings for the same period. For the definition of Adjusted EBITDA, refer to “Non-GAAP Financial Measures.”
Non-GAAP Financial Measures
To supplement Lyft's financial information presented in accordance with generally accepted accounting principles in the United States of America, or GAAP, Lyft considers certain financial measures that are not prepared in accordance with GAAP, including Adjusted EBITDA, Adjusted EBITDA margin (calculated as a percentage of Gross Bookings) and free cash flow. Lyft defines Adjusted EBITDA as net income (loss) adjusted for interest expense, other income, net, provision for (benefit from) income taxes, depreciation and amortization, stock-based compensation expense, payroll tax expense related to stock-based compensation, as well as, if applicable, sublease income, gain from lease termination, restructuring charges, costs related to acquisitions, divestitures and other corporate matters, and certain legal, tax, and regulatory reserve changes and settlements. Adjusted EBITDA margin (calculated as a percentage of Gross Bookings) is calculated by dividing Adjusted EBITDA for a period by Gross Bookings for the same period and is considered a key metric. Lyft defines free cash flow as net cash provided by (used in) operating activities less purchases of property and equipment and scooter fleet.
Lyft subleases certain office space and earns sublease income. Sublease income is included within other income, net on the consolidated statement of operations, while the related lease expense is included within operating expenses and loss from operations. Lyft believes the adjustment to include sublease income in Adjusted EBITDA is useful to investors
-68-
by enabling them to better assess Lyft’s operating performance, including the benefits of recent transactions, by presenting sublease income as a contra-expense to the related lease charges that are part of operating expenses.
In the fourth quarter of 2024, we terminated a portion of the lease for the Company’s San Francisco headquarters. The right-of-use asset associated with the portion of this lease was previously impaired as part of our previous restructuring plans, and the extinguishment of the remaining lease liability resulted in the recorded gain within operating lease costs. We believe this does not reflect the current period performance of our ongoing operations and that the adjustment to exclude this gain from lease termination from Adjusted EBITDA is useful to investors by enabling them to better assess Lyft’s ongoing operating performance and provide for better comparability with Lyft’s historically disclosed Adjusted EBITDA amounts.
In September 2024, Lyft committed to plans of termination as part of efforts to reduce operating expenses. Lyft believes the costs associated with these restructuring efforts do not reflect performance of Lyft’s ongoing operations. Lyft believes the adjustment to exclude the costs related to restructuring from Adjusted EBITDA is useful to investors by enabling them to better assess Lyft’s ongoing operating performance and provide for better comparability with Lyft’s historically disclosed Adjusted EBITDA amounts.
Lyft excludes certain costs related to acquisitions including due diligence costs, professional fees in connection with an acquisition, certain financing costs, and certain integration-related expenses. These expenses are unpredictable, and depend on factors that may be outside of Lyft’s control and are not reflective of ongoing core operations. In addition, the size and complexity of an acquisition, which often drives the magnitude of costs related to acquisitions, may not be indicative of such future costs. Lyft believes excluding costs related to acquisitions, divestitures and other corporate matters facilitates the comparison of our financial results to Lyft’s historical operating results and to other companies in industry.
Certain legal, tax, and regulatory reserve changes and settlements are primarily related to certain reserves and/or settlements for significant legal proceedings or governmental investigations and the associated fees. These matters have limited precedent, cover extended historical periods and are unpredictable in both magnitude and timing, therefore are distinct from normal, recurring legal, tax and regulatory matters and related expenses incurred in Lyft’s ongoing operating performance.
Lyft uses its non-GAAP financial measures in conjunction with GAAP measures as part of the overall assessment of Lyft’s performance, including the preparation of the annual operating budget and quarterly forecasts, to evaluate the effectiveness of business strategies, and to communicate with Lyft’s board of directors concerning financial performance. Free cash flow is a measure used by our management to understand and evaluate operating performance and trends. Lyft believes free cash flow is a useful indicator of liquidity that provides management with information about Lyft’s ability to generate or use cash to enhance the strength of the balance sheet, further invest in the business and pursue potential strategic initiatives. Free cash flow has certain limitations, including that it does not reflect Lyft’s future contractual commitments and it does not represent the total increase or decrease in Lyft’s cash balance for a given period. Free cash flow does not necessarily represent funds available for discretionary use and is not necessarily a measure of Lyft’s ability to fund cash needs.
Lyft’s definitions may differ from the definitions used by other companies and therefore comparability may be limited. In addition, other companies may not publish these or similar metrics. Furthermore, these measures have certain limitations in that they do not include the impact of certain expenses that are reflected in Lyft’s consolidated statement of operations that are necessary to run the business. Thus, our non-GAAP financial measures should be considered in addition to, not as substitutes for, or in isolation from, measures prepared in accordance with GAAP.
-69-
GAAP to Non-GAAP Reconciliations
(unaudited)
Net income is the most directly comparable financial measure to Adjusted EBITDA. The following table provides a reconciliation of net income to Adjusted EBITDA (in millions):
| Year Ended December 31, | |||||||||||
| 2025 | 2024 | ||||||||||
| Net income | $ | 2,844.0 | $ | 22.8 | |||||||
| Adjusted to exclude the following: | |||||||||||
Interest expense(1) | 25.5 | 34.7 | |||||||||
| Other income, net | (155.9) | (173.2) | |||||||||
(Benefit from) provision for income taxes(2) | (2,897.3) | 2.6 | |||||||||
| Depreciation and amortization | 135.2 | 148.9 | |||||||||
| Stock-based compensation | 322.3 | 330.9 | |||||||||
| Payroll tax expense related to stock-based compensation | 13.0 | 14.8 | |||||||||
| Sublease income | 0.9 | 3.5 | |||||||||
| Costs related to acquisitions, divestitures and other corporate matters | 29.4 | — | |||||||||
| Certain legal, tax, and regulatory reserve changes and settlements | 211.6 | — | |||||||||
| Gain from lease termination | — | (29.6) | |||||||||
Restructuring charges(3) | — | 26.9 | |||||||||
| Adjusted EBITDA | $ | 528.8 | $ | 382.4 | |||||||
| Gross Bookings | $ | 18,507.0 | $ | 16,099.4 | |||||||
| Net income as a percentage of Gross Bookings | 15.4 | % | 0.1 | % | |||||||
| Adjusted EBITDA margin (calculated as a percentage of Gross Bookings) | 2.9 | % | 2.4 | % | |||||||
___________
References to the “Notes” are the notes to the Company’s consolidated financial statements included in its Annual Report on Form 10-K for the fiscal year ended December 31, 2025.
(1)Includes $4.7 million and $5.8 million related to the interest component of vehicle related finance leases in the year ended December 31, 2025 and 2024. Refer to Note 9 “Leases” to the consolidated financial statements for information regarding the interest component of vehicle related finance leases.
(2)Includes a $2.9 billion benefit from the release of Lyft’s valuation allowance of U.S. federal and certain state deferred tax assets in the fourth quarter of 2025. Refer to Note 13 “Income Taxes” to the consolidated financial statements for information regarding the release of the valuation allowance.
(3)In the year ended December 31, 2024, Lyft incurred restructuring charges of $14.1 million of fixed asset disposals, $11.1 million of other current assets disposals and other costs and $1.8 million of severance and other employee costs. Restructuring related charges for accelerated depreciation of fixed assets of $10.6 million are included on its respective line item. Refer to Note 15 “Restructuring” to the consolidated financial statements for information regarding the restructuring plan announced in September 2024.
Note: Due to rounding, numbers presented may not add up precisely to the totals provided.
Net cash provided by (used in) operating activities is the most directly comparable financial measure to free cash flow. The following table provides a reconciliation of net cash provided by (used in) operating activities to free cash flow (in millions):
| Year Ended December 31, | |||||||||||
| 2025 | 2024 | ||||||||||
| Net cash provided by operating activities | $ | 1,168.4 | $ | 849.7 | |||||||
| Less: purchases of property and equipment and scooter fleet | (52.8) | (83.5) | |||||||||
Free cash flow(1) | $ | 1,115.6 | $ | 766.3 | |||||||
_______________
(1)Due to rounding, numbers presented may not add up precisely to the totals provided.
-70-
GAAP operating expenses is the most directly comparable financial measure to non-GAAP operating expenses. The following table provides a reconciliation of GAAP operating expenses to non-GAAP operating expenses (in millions):
| Year Ended December 31, | |||||||||||
| 2025 | 2024 | ||||||||||
GAAP operating expenses (excludes COR) | $ | (2,807.0) | $ | (2,567.2) | |||||||
| Depreciation of fixed assets | 7.3 | 12.1 | |||||||||
| Amortization of intangible assets | 10.4 | 10.1 | |||||||||
| Stock-based compensation expense | 298.7 | 306.0 | |||||||||
| Payroll tax expense related to stock-based compensation | 11.9 | 13.2 | |||||||||
| Sublease income | 0.9 | 3.5 | |||||||||
| Costs related to acquisitions, divestitures and other corporate matters | 29.4 | — | |||||||||
| Gain from lease termination | — | (29.6) | |||||||||
Certain legal, tax, and regulatory reserve changes and settlements | 43.6 | — | |||||||||
| Restructuring charges | — | 1.9 | |||||||||
Non-GAAP operating expenses (excludes COR)(1) | $ | (2,404.8) | $ | (2,250.1) | |||||||
_______________
(1)Due to rounding, numbers presented may not add up precisely to the totals provided.
Note: Beginning in Q1’25, Lyft no longer presents Adjusted Net Income (Loss). Accordingly, non-GAAP costs and expenses now considers the impact of depreciation of fixed assets and interest related to financed vehicles which have been historically excluded from Lyft’s Adjusted EBITDA calculation. Prior period non-GAAP results have been recast to conform to current period presentation.
-71-
APPENDIX B — Proposed Amendments to Our Certificate of Incorporation (Proposal No. 5)
The proposed amendments to Articles IV, V, VI, VII, and VIII of our certificate of incorporation related to Proposal No. 5 are shown below. Additions are indicated by underlining and deletions are indicated by strike-outs.
ARTICLE IV
This Corporation is authorized to issue two classes of stock to be designated, respectively, Common Stock and Preferred Stock. The total number of shares of Common Stock authorized to be issued is 18,100,000,000, 18,000,000,000 shares, all of which are designated Class A Common Stock, par value $0.00001 per share (the “Class A Common Stock”) and 100,000,000 shares of which are designated Class B Common Stock, par value $0.00001 per share (the “Class B Common Stock”). The total number of shares of Preferred Stock authorized to be issued is 1,000,000,000 shares, par value $0.00001 per share.
Immediately upon the effectiveness of this Restated Certificate for filing by the Secretary of State of the State of Delaware (the “Effective Time”), each share of the Corporation’s Common Stock issued and outstanding or held as treasury stock immediately prior to the Effective Time, shall, automatically and without further action by any stockholder, be reclassified as, and shall become, one share of Class A Common Stock. Any stock certificate that immediately prior to the Effective Time represented shares of the Corporation’s Common Stock shall from and after the Effective Time be deemed to represent shares of Class A Common Stock, without the need for surrender or exchange thereof.
ARTICLE V
The rights, powers, preferences, privileges, restrictions and other matters relating to the Common Stock are as follows:
1. Definitions. For purposes of this Article V, the following definitions apply;
1.1 “Acquisition” means (A) any consolidation or merger of the Corporation with or into any other corporation or other entity or person, or any other corporate reorganization, other than any such consolidation, merger or reorganization in which the shares of capital stock of the Corporation immediately prior to such consolidation, merger or reorganization continue to represent a majority of the voting power of the surviving entity (or, if the surviving entity is a wholly owned subsidiary, its Parent) immediately after such consolidation, merger or reorganization (provided that, for the purpose of this Section V.1.1, all stock, options, warrants, purchase rights or other securities exercisable for or convertible into Common Stock outstanding immediately prior to such merger or consolidation shall be deemed to be outstanding immediately prior to such merger or consolidation and, if applicable, converted or exchanged in such merger or consolidation on the same terms as the actual outstanding shares of capital stock are converted or exchanged); or (B) any transaction or series of related transactions to which the Corporation is a party in which shares of the Corporation are transferred such that in excess of fifty percent (50%) of the Corporation’s voting power is transferred; provided that an Acquisition shall not include any transaction or series of transactions principally for bona fide equity financing purposes in which cash is received by the Corporation or any successor or indebtedness of the Corporation is cancelled or converted or a combination thereof.
1.2 “Amended and Restated Certificate” means this Restated Certificate of Incorporation of the Corporation, as may be further amended and restated from time to time.
1.3 “Asset Transfer” means a sale, lease, exclusive license or other disposition of all or substantially all of the assets of the Corporation.
1.4 “Base Class B Shares” means the number of shares of Class B Common Stock held collectively by the Founders and their Permitted Entities as of 11:59 p.m. Eastern Time on the Effective Date.
1.5 “Board” means the Board of Directors of the Corporation.
1.6 “Controlled Company Exemption” means, if and to the extent otherwise applicable to the Corporation, the exemptions from the Listing Standards available to any company that constitutes a “controlled company” within the meaning of the Listing Standards.
1.7 “Disability” or “Disabled” means, with respect to a Founder, the permanent and total disability of such Founder such that such Founder is unable to engage in any substantial gainful activity by reason of any medically determinable physical or mental impairment which can be expected to result in death within 12 months or which has lasted or can be expected to last for a continuous period of not less than 12 months as determined by a licensed medical practitioner jointly selected by a majority of the Independent Directors and such Founder. If such Founder is incapable of selecting a licensed physician, then such Founder’s spouse shall make the selection on behalf of such Founder, or in the absence or incapacity of such Founder’s spouse, such Founder’s adult children by majority vote shall make the selection on behalf of such Founder, or in the absence of adult children of such Founder or their inability to act by majority vote, a natural person then acting as the successor trustee of a revocable living trust which was created by such Founder and which holds more shares of all classes of capital stock of the Corporation than any other revocable living trust created by such Founder shall make the selection on behalf of such Founder, or in absence of any such successor trustee, the legal guardian or conservator of the estate of such Founder shall make the selection on behalf of such Founder.
1.8 “Effective Date” means the date that this Amended and Restated Certificate is accepted for filing by the Secretary of State of the State of Delaware.
1.9 “Final Conversion Date” means:
(a) the date specified by the holders of two-thirds of the then outstanding shares of Class B Common Stock, voting as a separate class, or in the affirmative written election executed by the holders of two-thirds of the then outstanding shares of Class B Common Stock;
(b) the date fixed by the Board that is no less than 61 days and no more than 180 days following the date that the number of outstanding shares of Class B Common Stock held by the Founders and their Permitted Entities and Permitted Transferees represents less than 20% of the Base Class B Shares; or
(c) the date that is nine months after the death or Disability of the last to die or become Disabled of the Founders, provided, that such date may be extended but not for a total period of
longer than eighteen (18) months from the last applicable death or Disability to a date approved by a majority of the Independent Directors then in office.
1.10 “Founder” means either Logan Green or John Zimmer.
1.11 “Independent Directors” means the members of the Board designated as independent directors in accordance with the Listing Standards.
1.12 “Liquidation Event” means any liquidation, dissolution, or winding up of the Corporation, whether voluntary or involuntary, or any Acquisition or Asset Transfer.
1.13 “Listing Standards” means (i) the requirements of any national stock exchange under which the Corporation’s equity securities are listed for trading that are generally applicable to companies with common equity securities listed thereon or (ii) if the Corporation’s equity securities are not listed for trading on a national stock exchange, the requirements of the New York Stock Exchange generally applicable to companies with equity securities listed thereon.
1.14 “Parent” of an entity means any entity that directly or indirectly owns or controls a majority of the voting power of the voting securities of such entity.
1.15 “Permitted Entity” means, with respect to any Qualified Stockholder, any trust, account, plan, corporation, partnership, limited liability company or charitable organization, foundation or similar entity specified in Section V.1.16(b) with respect to such Qualified Stockholder, so long as such Permitted Entity meets the requirements of the exception set forth in Section V.1.16 applicable to such Permitted Entity.
1.16 “Permitted Transfer” means
(a) with respect to any Founder, a Transfer from such Founder, from such Founder’s Permitted Entities or from such Founder’s Permitted Transferees, to such Founder’s estate as a result of such Founder’s death, to either Founder, to either Founder’s Permitted Entities or to either Founder’s Permitted Transferees; and
(b) any Transfer of a share of Class B Common Stock by a Qualified Stockholder to any of the Permitted Entities listed below and from any of the Permitted Entities listed below to such Qualified Stockholder or to such Qualified Stockholder’s other Permitted Entities:
(i) a trust for the benefit of such Qualified Stockholder or persons other than the Qualified Stockholder so long as a Qualified Stockholder and/or a spouse of a Founder, if applicable, collectively have sole dispositive power and exclusive Voting Control with respect to the shares of Class B Common Stock held by such trust; provided that in the event a Qualified Stockholder and/or a spouse of a Founder, if applicable, no longer collectively have sole dispositive power and exclusive Voting Control with respect to the shares of Class B Common Stock held by such trust, each such share of Class B Common Stock then held by such trust shall automatically convert into one (1) fully paid and nonassessable share of Class A Common Stock;
(ii) a trust under the terms of which a Qualified Stockholder has retained a “qualified interest” within the meaning of §2702(b)(1) of the Internal Revenue Code or a reversionary interest so long as a Qualified Stockholder and/or a spouse of a Founder, if applicable, collectively have sole dispositive power and exclusive Voting Control with respect to the shares of Class B Common Stock held by such trust; provided that in the event a Qualified Stockholder and/or a spouse of a Founder, if applicable, no longer collectively have sole dispositive power and exclusive Voting Control with respect to the shares of Class B Common Stock held by such trust, each such share of Class B Common Stock then held by such trust shall automatically convert into one (1) fully paid and nonassessable share of Class A Common Stock;
(iii) an Individual Retirement Account, as defined in Section 408(a) of the Internal Revenue Code, or a pension, profit sharing, stock bonus or other type of plan or trust of which such Qualified Stockholder is a participant or beneficiary and which satisfies the requirements for qualification under Section 401 of the Internal Revenue Code; provided that in each case such Qualified Stockholder has sole dispositive power and exclusive Voting Control with respect to the shares of Class B Common Stock held in such account, plan or trust, and provided, further, that in the event the Qualified Stockholder no longer has sole dispositive power and exclusive Voting Control with respect to the shares of Class B Common Stock held by such account, plan or trust, each such share of Class B Common Stock then held by such account, plan or trust shall automatically convert into one (1) fully paid and nonassessable share of Class A Common Stock;
(iv) a corporation in which such Qualified Stockholder directly, or indirectly through one or more Permitted Entities, owns shares with sufficient Voting Control in the corporation, or otherwise has legally enforceable rights, such that the Qualified Stockholder retains sole dispositive power and exclusive Voting Control with respect to the shares of Class B Common Stock held by such corporation; provided that in the event the Qualified Stockholder no longer owns sufficient shares or no longer has sufficient legally enforceable rights to ensure the Qualified Stockholder retains sole dispositive power and exclusive Voting Control with respect to the shares of Class B Common Stock held by such corporation, each such share of Class B Common Stock then held by such corporation shall automatically convert into one (1) fully paid and nonassessable share of Class A Common Stock;
(v) a partnership in which such Qualified Stockholder directly, or indirectly through one or more Permitted Entities, owns partnership interests with sufficient Voting Control in the partnership, or otherwise has legally enforceable rights, such that the Qualified Stockholder retains sole dispositive power and exclusive Voting Control with respect to the shares of Class B Common Stock held by such partnership; provided that in the event the Qualified Stockholder no longer owns sufficient partnership interests or no longer has sufficient legally enforceable rights to ensure the Qualified Stockholder retains sole dispositive power and exclusive Voting Control with respect to the shares of Class B Common Stock held by such partnership, each such share Class B Common Stock then held by such partnership shall automatically convert into one (1) fully paid and nonassessable share of Class A Common Stock;
(vi) a limited liability company in which such Qualified Stockholder directly, or indirectly through one or more Permitted Entities, owns membership interests with sufficient Voting Control in the limited liability company, or otherwise has legally enforceable rights, such that the Qualified Stockholder retains sole dispositive power and exclusive Voting Control with respect to the shares of Class B Common Stock held by such limited liability company; provided that in the event the Qualified Stockholder no longer owns sufficient membership interests or no longer has sufficient legally enforceable
rights to ensure the Qualified Stockholder retains sole dispositive power and exclusive Voting Control with respect to the shares of Class B Common Stock held by such limited liability company, each such share of Class B Common Stock then held by such limited liability company shall automatically convert into one (1) fully paid and nonassessable share of Class A Common Stock; or
(vii) any charitable organization, foundation or similar entity established by a Qualified Stockholder directly, or indirectly through one or more Permitted Entities, so long as a Qualified Stockholder and/or a spouse of a Founder, if applicable, collectively have sole dispositive power and exclusive Voting Control with respect to the shares of Class B Common Stock held by such entity; provided such Transfer does not involve any payment of cash, securities, property or other consideration (other than an interest in such entity) to such Qualified Stockholder; provided, further, that in the event a Qualified Stockholder and/or a spouse of a Founder, if applicable, collectively, no longer have sole dispositive power and exclusive Voting Control with respect to the shares of Class B Common Stock held by such entity, each share of Class B Common Stock then held by such entity shall automatically convert into one (1) fully paid and nonassessable share of Class A Common Stock.
For the avoidance of doubt, to the extent any shares are deemed to be held by a trustee of a trust described in (i) or (ii) above, the Transfer shall be a Permitted Transfer and the trustee shall be deemed a Permitted Entity so long as the other requirements of (i) or (ii) above, as the case may be, are otherwise satisfied.
1.17 “Permitted Transferee” means a transferee of shares of Class B Common Stock, or rights or interests therein, received in a Transfer that constitutes a Permitted Transfer.
1.18 “Qualified Stockholder” means (a) any registered holder of a share of Class B Common Stock as of 11:59 p.m. Eastern Time on the Effective Date; (b) a Permitted Transferee; and (c) the initial registered holder of any shares of Class B Common Stock that are originally issued by the Corporation after the Effective Date in compliance with this Amended and Restated Certificate.
1.19 “Securities Exchange” means the New York Stock Exchange, the Nasdaq Stock Market or any successor markets or exchanges.
1.20 “Transfer” of a share of Class B Common Stock means, directly or indirectly, any sale, assignment, transfer, conveyance, hypothecation or other transfer or disposition of such share or any legal or beneficial interest in such share, whether or not for value and whether voluntary or involuntary or by operation of law (including by merger, consolidation or otherwise) after 11:59 p.m. Eastern Time on the Effective Date, including, without limitation, a transfer of a share of Class B Common Stock to a broker or other nominee (regardless of whether there is a corresponding change in beneficial ownership), or the transfer of, or entering into a binding agreement with respect to the transfer of, Voting Control (as defined below) over such share by proxy or otherwise. A “Transfer” will also be deemed to have occurred with respect to all shares of Class B Common Stock beneficially held by an entity that is a Qualified Stockholder, if after 11:59 p.m. Eastern Time on the Effective Date there is a Transfer of the voting power of the voting securities of such entity or any direct or indirect Parent of such entity, such that the previous holders of such voting power no longer retain sole dispositive power and exclusive Voting Control with respect to the shares of Class B Common Stock held by such entity. Notwithstanding the foregoing, the following will not be considered a “Transfer”:
(a) granting a revocable proxy to officers or directors of the Corporation at the request of the Board in connection with (i) actions to be taken at an annual or special meeting of stockholders, or (ii) any other action of the stockholders permitted by this Amended and Restated Certificate;
(b) entering into a voting trust, agreement or arrangement (with or without granting a proxy) solely with stockholders who are holders of Class B Common Stock, which voting trust, agreement or arrangement (i) is disclosed either in a Schedule 13D filed with the Securities and Exchange Commission or in writing to the Secretary of the Corporation, (ii) either has a term not exceeding one year or is terminable by the holder of the shares subject thereto at any time and (iii) does not involve any payment of cash, securities, property or other consideration to the holder of the shares subject thereto other than the mutual promise to vote shares in a designated manner;
(c) pledging shares of Class B Common Stock by a stockholder that creates a mere security interest in such shares pursuant to a bona fide loan or indebtedness transaction for so long as such stockholder continues to exercise Voting Control over such pledged shares; provided, however, that a foreclosure on such shares or other similar action by the pledgee will constitute a “Transfer” unless such foreclosure or similar action qualifies as a “Permitted Transfer” at such time;
(d) granting a proxy by a Founder, such Founder’s Permitted Entities or such Founder’s Permitted Transferees to the other Founder to exercise Voting Control of shares of Class B Common Stock owned directly or indirectly, beneficially and of record, by such Founder, such Founder’s Permitted Entities or such Founder’s Permitted Transferees, and the exercise of such proxy by such other Founder;
(e) granting a proxy by a Founder, such Founder’s Permitted Entities or such Founder’s Permitted Transferees to a person designated by such Founder and approved by a majority of the Independent Directors then in office, to exercise Voting Control of shares of Class B Common Stock owned directly or indirectly, beneficially and of record, by such Founder, such Founder’s Permitted Entities or such Founder’s Permitted Transferees, or over which such Founder has Voting Control pursuant to proxy or voting agreements then in place, effective either (i) on the death of such Founder or (ii) during any Disability of such Founder, including the exercise of such proxy by such person;
(f) entering into a trading plan pursuant to Rule 10b5-1 under the Securities Exchange Act of 1934, as amended, with a broker or other nominee; provided, however, that a sale of such shares of Class B Common Stock pursuant to such plan shall constitute a “Transfer” at the time of such sale;
(g) the fact that the spouse of any Qualified Stockholder possesses or obtains an interest in such holder’s shares of Class B Common Stock arising solely by reason of the application of the community property laws of any jurisdiction, so long as no other event or circumstance shall exist or have occurred that constitutes a “Transfer”; and
(h) entering into a support, voting, tender or similar agreement, arrangement or understanding (with or without granting a proxy) in connection with a Liquidation Event or consummating the actions or transactions contemplated therein (including, without limitation, tendering shares of Class B Common Stock in connection with a Liquidation Event, the consummation of a Liquidation Event or the sale, assignment, transfer, conveyance, hypothecation or other transfer or disposition of shares of Class B Common
Stock or any legal or beneficial interest in shares of Class B Common Stock in connection with a Liquidation Event), provided that such Liquidation Event was approved by the Board.
1.21 “Voting Control” means, with respect to a share of capital stock or other security, the power (whether exclusive or shared) to vote or direct the voting of such security, including by proxy, voting agreement or otherwise.
1.22 “Whole Board” means the total number of authorized directors whether or not there exist any vacancies or unfilled seats in previously authorized directorships.
2. Identical Rights. Except as otherwise provided in this Amended and Restated Certificate or required by applicable law, shares of Common Stock shall have the same rights and powers, rank equally (including as to dividends and distributions, and any liquidation, dissolution or winding up of the Corporation but excluding voting and other matters as described in Section V.3 below), share ratably and be identical in all respects as to all matters, including:
2.1 Subject to the prior rights of holders of all classes and series of stock at the time outstanding having prior rights as to dividends, the holders of the Common Stock shall be entitled to receive, when, as and if declared by the Board, out of any assets of the Corporation legally available therefor, such dividends as may be declared from time to time by the Board. Any dividends paid to the holders of shares of Common Stock shall be paid pro rata, on an equal priority, pari passu basis, unless different treatment of the shares of any such class or series is approved by the affirmative vote of the holders of a majority of the voting power of the outstanding shares of such applicable class or series of Common Stock treated adversely, voting separately as a class.
2.2 The Corporation shall not declare or pay any dividend or make any other distribution to the holders of Common Stock payable in securities of the Corporation unless the same dividend or distribution with the same record date and payment date shall be declared and paid on all shares of Common Stock; provided, however, that (i) dividends or other distributions payable in shares of Class A Common Stock or rights to acquire shares of Class A Common Stock may be declared and paid to the holders of Class A Common Stock without the same dividend or distribution being declared and paid to the holders of the Class B Common Stock if, and only if, a dividend payable in shares of Class B Common Stock, or rights to acquire shares of Class B Common Stock, are declared and paid to the holders of Class B Common Stock at the same rate and with the same record date and payment date; and (ii) dividends or other distributions payable in shares of Class B Common Stock or rights to acquire shares of Class B Common Stock may be declared and paid to the holders of Class B Common Stock without the same dividend or distribution being declared and paid to the holders of the Class A Common Stock if, and only if, a dividend payable in shares of Class A Common Stock, or rights to acquire shares of Class A Common Stock are declared and paid to the holders of Class A Common Stock at the same rate and with the same record date and payment date; and provided, further, that nothing in the foregoing shall prevent the Corporation from declaring and paying dividends or other distributions payable in shares of one class of Common Stock or rights to acquire one class of Common Stock to holders of all classes of Common Stock.
2.3 If the Corporation in any manner subdivides or combines the outstanding shares of Class A Common Stock and Class B Common Stock, then the outstanding shares of all Common Stock will be subdivided or combined in the same proportion and manner.
3. Voting Rights.
3.1 Common Stock.
1. (a) Voting Rights of Class A Common Stock. Each holder of shares of Class A Common Stock will be entitled to one vote for each share thereof held at the record date for the determination of the stockholders entitled to vote on such matters.
(b) Class B Common Stock. Each holder of shares of Class B Common Stock will be entitled to twenty votes for each share thereof held at the record date for the determination of the stockholders entitled to vote on such matters.
3.2 General. Except as otherwise expressly provided herein or as required by law, the holders of Class A Common Stock and Class B Common Stock will vote together and not as separate series or classes.
2. 3.3 Vote to Increase or Decrease Authorized Shares of Common Stock. The number of authorized shares of Common Stock or any class or series thereof may be increased or decreased (but not below (i) the number of shares of Common Stock or, in the case of a class or series of Common Stock, such class or series, then outstanding plus (ii) with respect to Class A Common Stock, the number of shares reserved for issuance pursuant to Section V.8) by the affirmative vote of the holders of a majority of the voting power of the Class A Common Stock and Class B Common Stock, voting together as a single classall of the outstanding shares of stock of the Corporation entitled to vote thereon, irrespective of the provisions of Section 242(b)(2) of the Delaware General Corporation Law; provided, that the number of authorized shares of Class B Common Stock shall not be increased or decreased without the affirmative vote of the holders of a majority of the outstanding shares of Class B Common Stock, voting as a separate class..
3. 3.4 Election of Directors. Subject to any rights of the holders of any series of Preferred Stock to elect directors under specified circumstances, (i) prior to the Final Conversion Date, the holders of Class A Common Stock and Class B Common Stock, voting together as a single class, shall be entitled to elect and remove all directors of the Corporation, and (ii) from and after the Final Conversion Date, if any, the holders of Common Stock, voting together as a single class, shall be entitled to elect and remove all directors of the Company.
4. Liquidation Rights. In the event of a Liquidation Event, subject to the rights of any Preferred Stock that may then be outstanding, the assets of the Corporation legally available for distribution to stockholders shall be distributed on an equal priority, pro rata basis (based on the number of shares of Common Stock held by each) to the holders of Common Stock, unless different treatment of the shares of each such class or series of Common Stock is approved by the affirmative vote of the holders of a majority of the outstanding shares of Class A Common Stock and Class B Common Stock, each voting separately as a class; provided, however, that for the avoidance of doubt, consideration to be paid or received by a holder of Common Stock in connection with any Liquidation Event pursuant to any employment, consulting, severance or similar services arrangement shall not be deemed to be “distribution to stockholders” for the purpose of this Section V.4; provided, further, however, that shares of such classes may receive, or have the right to elect to receive, different or disproportionate consideration in connection with such consolidation, merger or other transaction if the only difference in the per share consideration to the holders of the Class A Common Stock
and Class B Common Stock is that any securities distributed to the holder of a share of Class B Common Stock have twenty (20) times the voting power of any securities distributed to the holder of a share of Class A Common Stock.
5. Conversion of the Class B Common Stock. The Class B Common Stock will be convertible into Class A Common Stock as follows:
5.1 Each share of Class B Common Stock will automatically convert into one fully paid and nonassessable share of Class A Common Stock on the Final Conversion Date.
5.2 With respect to any holder of Class B Common Stock, each share of Class B Common Stock held by such holder will automatically be converted into one fully paid and nonassessable share of Class A Common Stock, as follows:
(a) on the affirmative written election of such holder or, if later, at the time or the happening of a future event specified in such written election (which election may be revoked by such holder prior to the date on which the automatic conversion would otherwise occur unless otherwise specified by such holder);
(b) on the occurrence of a Transfer of such share of Class B Common Stock, other than a Permitted Transfer;
(c) with respect to Class B Common Stock held by a holder who is a natural person, or a Permitted Transferee or Permitted Entity of such natural person, upon the death of such natural person, provided, that solely with respect to each share of Class B Common Stock held of record by a Founder, such Founder’s Permitted Entities or by such Founder’s Permitted Transferees, upon the death or Disability of such Founder; provided, however, that, with respect to the shares of Class B Common Stock held of record by a Founder, such Founder’s Permitted Entities or such Founder’s Permitted Transferees, each share of Class B Common Stock held of record by such Founder, such Founder’s Permitted Entities or such Founder’s Permitted Transferees shall automatically convert into one (1) fully paid and nonassessable share of Class A Common Stock upon that date which is nine (9) months after the date of death or Disability of such Founder or such later date not to exceed a total period of eighteen (18) months after the date of death or Disability of such Founder as may be approved by a majority of the Independent Directors then in office, during which period Voting Control over such Founder’s shares of Class B Common Stock (including shares of Class B Common Stock held of record by such Founder’s Permitted Entities and Permitted Transferees) shall be exercised in accordance with any proxy or voting agreement entered into in accordance with Section V.1.20 of this Amended and Restated Certificate or, if no such proxy or voting agreement is in place at the time of such death or Disability, a person (including a person serving as trustee) previously designated by the Founder and approved by the Board may exercise Voting Control over the Founder’s shares of Class B Common Stock (including shares of Class B Common Stock held of record by such Founder’s Permitted Entities and Permitted Transferees); provided, further, that, if both Founders die and/or become Disabled simultaneously or the second Founder dies or becomes Disabled following the death or Disability of the other Founder, but prior to the conversion pursuant to this Section V.5.2(c) of the shares of Class B Common Stock held of record by such first Founder to die or become Disabled, such first Founder’s Permitted Entities or such first Founder’s Permitted Transferees, a person (including a person serving as trustee) previously designated by the Founders and approved by the Board may exercise Voting Control over the Founders’ shares of Class B
Common Stock (including shares of Class B Common Stock held of record by each Founder’s Permitted Entities and Permitted Transferees) and, in such instance, each such share of Class B Common Stock shall automatically convert into one (1) fully paid and nonassessable share of Class A Common Stock (and the Final Conversion Date shall occur) upon that date which is nine (9) months after the death or Disability of the last to die or become Disabled of the Founders, or such later date not to exceed a total period of eighteen (18) months after the last applicable death or Disability as may be approved by a majority of the Independent Directors then in office. Notwithstanding anything to the contrary contained herein, to the extent shares of Class B Common Stock are held by a Permitted Entity or Permitted Transferee of a Founder and the other Founder has or shares sole and exclusive Voting Control over such shares, the shares of Class B Common Stock held by such Permitted Entity or Permitted Transferee shall be treated as held of record by the Founder that has or shares sole and exclusive Voting Control over such shares for purposes of this Section V.5.2(c) and shall not be converted into shares of Class A Common Stock as a result of the death or Disability of the Founder who does not have Voting Control over such shares; or
(d) with respect to Class B Common Stock over which the spouse of a Founder has Voting Control, upon the earlier of (i) the legal dissolution or termination of the marriage, or (ii) the effectiveness of a marital settlement agreement, in either case of clause (i) or (ii) if and only if such Founder’s spouse receives or retains sole and exclusive Voting Control of such shares of Class B Common Stock.
6. Procedures. The Corporation may, from time to time, establish such policies and procedures relating to the conversion of the Class B Common Stock into Class A Common Stock and the general administration of this dual class stock structure, including the issuance of stock certificates with respect thereto, as it may deem necessary or advisable, and may from time to time request that holders of shares of Class B Common Stock furnish certifications, affidavits or other proof to the Corporation as it deems necessary to verify the ownership of Class B Common Stock and to confirm that a conversion to Class A Common Stock has not occurred. A determination by the Corporation as to whether or not a Transfer has occurred and results in a conversion to Class A Common Stock shall be conclusive and binding.
7. Immediate Effect. In the event of and upon a conversion of shares of Class B Common Stock into shares of Class A Common Stock pursuant to Section V.5, such conversion shall be deemed to have been made, as applicable, at the time that the Transfer of shares, death or Disability, as applicable, occurred, or immediately upon the Final Conversion Date, or in the case of a conversion pursuant to Section V.5.2(a) the date described therein, subject in all cases to any transition periods specifically provided for in this Amended and Restated Certificate. Upon any conversion of Class B Common Stock into Class A Common Stock in accordance with this Amended and Restated Certificate, all rights of the holder of shares of Class B Common Stock shall cease and the person or persons in whose names or names the certificate or certificates representing the shares of Class A Common Stock are to be issued shall be treated for all purposes as having become the record holder or holders of such shares of Class A Common Stock.
8. Reservation of Stock Issuable Upon Conversion. The Corporation will at all times reserve and keep available out of its authorized but unissued shares of Class A Common Stock, solely for the purpose of effecting the conversion of the shares of the Class B Common Stock such number of its shares of Class A Common Stock as shall from time to time be sufficient to effect the conversion of all outstanding shares of Class B Common Stock; and if at any time the number of authorized but unissued shares of Class A Common Stock will not be sufficient to effect the conversion of all then-outstanding shares of Class B Common Stock,
the Corporation will take such corporate action as may, in the opinion of its counsel, be necessary to increase its authorized but unissued shares of Class A Common Stock into such number of shares as will be sufficient for such purpose.
9. No Reissuance of Class B Common Stock. No share or shares of Class B Common Stock acquired by the Corporation by reason of redemption, purchase, conversion or otherwise shall be reissued, and all such shares shall be cancelled, retired and eliminated from the shares that the Corporation shall be authorized to issue.
4. 10. Preemptive Rights. No stockholder of the Corporation shall have a right to purchase shares of capital stock of the Corporation sold or issued by the Corporation except to the extent that such a right may from time to time be set forth in a written agreement between the Corporation and a stockholder.
11. Class B Protective Provisions. After 11:59 p.m. Eastern Time on the Effective Date, and prior to the Final Conversion Date, the Corporation shall not, without the prior affirmative vote (either at a meeting or by written election) of the holders of two-thirds of the outstanding shares of Class B Common Stock, voting as a separate class, in addition to any other vote required by applicable law or this Amended and Restated Certificate:
11.1 directly or indirectly, whether by amendment, or through merger, recapitalization, consolidation or otherwise, amend or repeal, or adopt any provision of this Amended and Restated Certificate inconsistent with, or otherwise alter, any provision of this Amended and Restated Certificate that modifies the voting, conversion or other rights, powers, preferences, privileges or restrictions of the Class B Common Stock;
11.2 reclassify any outstanding shares of Class A Common Stock into shares having rights as to dividends or liquidation that are senior to the Class B Common Stock or the right to have more than one (1) vote for each share thereof;
11.3 issue any shares of Class B Common Stock, including, for the avoidance of doubt, by dividend, distribution or otherwise; or
11.4 authorize, or issue any shares of, any class or series of capital stock of the Corporation having the right to more than (1) vote for each share thereof.
ARTICLE VI
1. Rights of Preferred Stock. The Board of Directors of the Corporation (the “Board”) is authorized, subject to any limitations prescribed by law, to provide for the issuance of shares of Preferred Stock in series, and by filing a certificate pursuant to the applicable law of the State of Delaware (such certificate being hereinafter referred to as a “Preferred Stock Designation”), to establish from time to time the number of shares to be included in each such series, and to fix the designation, powers, preferences, and rights of the shares of each such series and any qualifications, limitations or restrictions thereof.
2. Vote to Increase or Decrease Authorized Shares of Preferred Stock. The number of authorized shares of Preferred Stock may be increased or decreased (but not below the number of shares
thereof then outstanding) by the affirmative vote of the holders of a majority of the voting power of all of the outstanding shares of stock of the Corporation entitled to vote thereon, without a vote of the holders of the Preferred Stock, or of any series thereof, unless a vote of any such holders is required pursuant to the terms of any Preferred Stock Designation, irrespective of the provisions of Section 242(b)(2) of the Delaware General Corporation Law.
ARTICLE VII
1. Board Size. Subject to the rights of the holders of any series of Preferred Stock to elect additional directors under specified circumstances, the number of directors that constitutes the entire Board shall be fixed by, or in the manner provided in, the Bylaws of the Corporation. At each annual meeting of stockholders, directors of the Corporation shall be elected to hold office until the expiration of the term for which they are elected and until their successors have been duly elected and qualified or until their earlier death, resignation or removal; except that if any such election shall not be so held, such election shall take place at a stockholders’ meeting called and held in accordance with the Delaware General Corporation Law.
2. Board Structure. From and after the Effective Date, The directors, other than any who may be elected by the holders of any series of Preferred Stock under specified circumstances, shall beare divided into three (3) classes as nearly equal in size as is practicable, hereby, designated Class I, Class II and Class III. The Board may assign members of the Board already in office to such classes at the time such classification becomes effective. The term of office of the initial Class I directors shall expire at the first regularly-scheduled annual meeting of the stockholders following the Effective Date, the term of office of the initial Class II directors shall expire at the second annual meeting of the stockholders following the Effective Date, and the term of office of the initial Class III directors shall expire at the third annual meeting of the stockholders following the Effective Date. At each annual meeting of stockholders, commencing with the first regularly scheduled annual meeting of stockholders following the Effective Date, each of the successors elected to replace the directors of a Class whose term shall have expired at such annual meeting shall be elected to hold office for a three year term and until the third annual meeting next succeeding his or her election and until his or her respective successor shall have been duly elected and qualified. Notwithstanding the foregoing provisions of this Article VII, each director shall serve until his or her successor is duly elected and qualified or until his or her death, resignation, or removal. If the number of directors is thereafter changed, any newly created directorships or decrease in directorships shall be so apportioned among the classes as to make all classes as nearly equal in number as is practicable. No decrease in the number of directors constituting the Board shall shorten the term of any incumbent director.
3. Removal; Vacancies. Any director may be removed from office by the stockholders of the Corporation as provided in Section 141(k) of the Delaware General Corporation Law. Subject to the rights of the holders of any series of Preferred Stock to elect directors and fill vacancies under specified circumstances, vacancies occurring on the Board for any reason and newly created directorships resulting from an increase in the authorized number of directors may be filled only by vote of a majority of the remaining members of the Board, although less than a quorum, or by a sole remaining director, and not by stockholders. A person elected to fill a vacancy or newly created directorship shall hold office until the next election of the class for which such director shall have been chosen and until his or her successor shall be duly elected and qualified.
ARTICLE VIII
The following provisions are inserted for the management of the business and the conduct of the affairs of the Corporation, and for further definition, limitation and regulation of the powers of the Corporation and of its directors and stockholders:
1. Board Power. The business and affairs of the Corporation shall be managed by or under the direction of the Board. In addition to the powers and authority expressly conferred by statute or by this Amended and Restated Certificate of Incorporation (this “Amended and Restated Certificate”) or the Bylaws of the Corporation, the Board is hereby empowered to exercise all such powers and do all such acts and things as may be exercised or done by the Corporation.
2. Written Ballot. Elections of directors need not be by written ballot unless otherwise provided in the Bylaws of the Corporation.
3. Amendment of Bylaws. In furtherance and not in limitation of the powers conferred by the Delaware General Corporation Law, the Board is expressly authorized to adopt, amend or repeal the Bylaws of the Corporation.
4. Special Meetings. Special meetings of the stockholders may be called only by (i) the Board pursuant to a resolution adopted by a majority of the Whole Boardtotal number of authorized directors whether or not there exist any vacancies or unfilled seats in previously authorized directorships; (ii) the chairman of the Board; (iii) the chief executive officer of the Corporation; or (iv) the president of the Corporation, but a special meeting may not be called by any other person or persons and any power of stockholders to call a special meeting of stockholders is specifically denied.
5. No Stockholder Action by Written Consent. Subject to the rights of the holders of the Class B Common Stock as specifically set forth in this Amended and Restated Certificate and the rights of the holders of any series of Preferred Stock, any action required or permitted to be taken by the stockholders of the Corporation must be effected at a duly called annual or special meeting of stockholders of the Corporation and may not be effected by any consent in writing by such stockholders.
6. No Cumulative Voting. No stockholder will be permitted to cumulate votes at any election of directors.
7. No Reliance on the Controlled Company Exemption. At any time during which shares of capital stock of the Corporation are listed for trading on a Securities Exchange, the Corporation shall not rely upon the Controlled Company Exemption.
APPENDIX C — Proposed Amendments to Our Certificate of Incorporation (Proposal No. 6)
The proposed amendments to Article IX of our certificate of incorporation related to Proposal No. 6 are shown below. Additions are indicated by underlining and deletions are indicated by strike-outs.
ARTICLE IX
To the fullest extent permitted by law, no director or officer of the Corporation shall be personally liable for monetary damages for breach of fiduciary duty as a director or officer. Without limiting the effect of the preceding sentence, if the Delaware General Corporation Law is hereafter amended to authorize the further elimination or limitation of the liability of a director or officer, then the liability of a director or officer of the Corporation shall be eliminated or limited to the fullest extent permitted by the Delaware General Corporation Law, as so amended.
Neither any amendment nor repeal of this Article IX, nor the adoption of any provision of this Amended and Restated Certificate inconsistent with this Article IX, shall eliminate, reduce or otherwise adversely affect any limitation on the personal liability of a director or officer of the Corporation existing at the time of such amendment, repeal or adoption of such an inconsistent provision.


